4. Доступ к среде передачи данных
В этой главе рассматриваются протоколы доступа к среде передаче данных с множественным доступом. Как было указано в главе 1, есть два вида каналов передачи данных: «точка-точка» и с множественным доступом. Канал «точка-точка» обеспечивает соединение только двух сторон: приемника и передатчика. Проблемы синхронизации доступа там не столь сложны. Этот вид сред передачи характерен для WAN-сетей. Здесь мы рассмотрим протоколы для работы с каналами с множественным доступом или, как их еще называют, протоколы со случайным доступом.
В средах с множественным доступом ключевым является вопрос: как определить, кому из абонентов, запросивших канал, предоставить право пользоваться этим каналом? Эту проблему можно проиллюстрировать следующим примером. Представим себе конференцию по телефону, т.е. когда несколько абонентов соединены каждый с каждым. Когда говорящий закончит речь, возможно, что сразу несколько участников конференции захотят высказаться. Они начнут говорить одновременно. Как предотвратить хаос? Протоколы для решения этой проблемы составляют основу этой главы. Эти протоколы относятся к подуровню канального уровня, который называется подуровнем доступа к среде или МАС - Medium Access Control подуровнем канального уровня. Выше этого подуровня действуют все те протоколы, о которых мы говорили в предыдущей главе. Протоколы этого подуровня регулируют доступ к каналу при наличии нескольких абонентов.
4.1. Проблема предоставления канала
Основной вопрос, который мы рассмотрим здесь, - как распределять единственный канал между многими конкурирующими пользователями. Мы рассмотрим статическую и динамическую схемы распределения доступа, а потом изучим конкретные алгоритмы, реализующие эти схемы.
4.1.1. Статическое предоставление канала
Как мы уже рассматривали ранее, есть два основных подхода к мультиплексированию нескольких конкурирующих пользователей на одном канале - частотное разделение (FDM) и временное разделение (TDM). Частотное разделение хорошо работает в условиях, когда число пользователей фиксировано, и каждый порождает плотную загрузку канала. Тогда каждому из них выделяется своя полоса частот, которую он использует независимо от других.
Однако, когда число пользователей велико, их число меняется или трафик отдельных пользователей не регулярный, у FDM появляются проблемы. Если весь диапазон разделить на N полос и лишь немногим из N потребуется передача, то большая часть пропускной способности не будет использована. Если число пользователей, кому необходимо передать данные, больше N, и мы жестко зафиксируем расписание доступа пользователей к каналу, то часть из них получит отказ из-за недостатка пропускной способности, хотя часть тех, кому канал будет предоставлен, может ничего не передавать или не принимать.
Таким образом, статическое разделение канала на подканалы является неэффективным решением при предположении о постоянстве числа пользователей в среднем. Положение усугубляет то обстоятельство, что трафик в сетях, как правило, носит взрывной характер (отличие пиковых нагрузок от средних достигает 1000 раз).
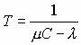
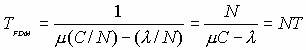
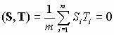
Это можно показать теоретически на следующей модели. Пусть мы хотим оценить Т - среднее время задержки кадра в канале. Предположим, что у нас есть канал со скоростью С бит/сек., средняя скорость поступления кадров в который равна λ кадров в секунду, а средняя длина кадра имеет экспоненциальное распределение со средним 1/μ бит/кадр. Тогда теория массового обслуживания или, как ее еще называют, теория очередей дает нам следующее соотношение:

Теперь разделим канал на N подканалов, каждый со скоростью C/N бит/сек. Скорость поступления кадров в каждом из подканалов будет теперь λ/N. Другими словами, что выгоднее иметь N разных очередей, каждую из которых надо обслуживать медленно или одну, которую надо обслуживать быстро. Соответственно, получаем:

Отсюда видно, что в сделанных предположениях частотное разделение в N раз хуже по сравнению с тем, как если бы все кадры были бы распределены из единой очереди.
Те же самые рассуждения можно применить и к временному разделению. Если каждому пользователю выделить свой слот и тот его не использует, то это пустая трата пропускной способности канала. Таким образом, ни один из известных статических методов не позволяет эффективно распределять нагрузку. Поэтому мы сосредоточимся на динамических методах распределения доступа к каналу.
4.1.2. Динамическое предоставление канала
Прежде чем перейти к описанию многочисленных динамических способов предоставления доступа к каналу, сформулируем основные пять предположений, которые и будут составлять основу моделей, которые мы будем использовать при оценке этих способов:
1. Станции. Модель состоит из N независимых станций (компьютеров, телефонов, факс-машин и т.п.). На каждой работает пользователь или программа, которые генерируют кадры для передачи. Вероятность появления кадра в интервале длины Δt равна λΔt, где λ - константа и 0<λ<1. Предполагается, что если кадр сгенерирован, то станция блокируется, и новый кадр не появится, пока не будет передан первый. Это предположение означает, что станции независимы, и на каждой работает только одна программа или пользователь, которые генерируют нагрузку с постоянной скоростью.
2. Единственность канала. Канал один и он доступен всем станциям. Все станции равноправны. Они получают кадры и передают кадры только через этот единственный канал. Аппаратные средства всех станций для доступа к каналу одинаковы, но программно можно устанавливать станциям приоритеты.
3. Коллизии. Если две станции передают кадры в одно и то же время, то сигналы накладываются и разрушаются. Этот случай будем называть коллизией. Любая станция может обнаружить коллизию. Кадры, разрушенные при коллизии, должны быть посланы повторно позднее. Кроме коллизий, других ошибок передачи нет.
4. Время. Мы будем предполагать две модели времени – непрерывное время и дискретное время.
A. Непрерывное время. Передача кадра может начаться в любой момент. Нет единых часов в системе, которые разбивают время на слоты.
B. Дискретное время. В слоте может оказаться 0 кадров, если это слот ожидания, 1 кадр - если в этом слоте передача кадра прошла успешно, несколько кадров, если в этом слоте произошла коллизия.
5. Доступ к каналу: возможны два способа доступа станции к каналу.
A. С обнаружением несущей. Станция, прежде чем использовать канал, всегда определяет, занят он или нет. Если он занят, то станция не начинает передачу.
B. Отсутствие несущей. Станция ничего не знает о состоянии канала, пока не начнет использовать его. Она сразу начинает передачу и лишь позднее обнаруживает коллизию.
Есть и другие модели, которые предусматривают многопользовательские станции, но эти модели намного сложнее. Единый канал передачи - это краеугольное предположение. Иного способа передать кадр нет - только по каналу.
4.2.1. ALOHA
В 70-х годах Норман Абрамсон (Norman Abramson) со своими коллегами из университета Гавайи предложил простой способ распределения доступа к каналу. Абрамсон назвал систему, реализующую этот способ распределения канала, ALOHA, что по-гавайски означает что-то вроде «привет». Система состояла из наземных радиостанций, связывающих острова между собой. Идея была позволить в вещательной среде любому количеству пользователей неконтролируемо использовать один и тот же канал.
Мы здесь рассмотрим два варианта системы: чистая ALOHA и слотированная ALOHA, т.е. разбитая на слоты. Основное различие - в первом случае никакой синхронизации пользователей не требуется, во втором она нужна.
4.2.1.1. Чистая ALOHA
Идея чистой ALOHA проста - любой пользователь, желающий передать сообщение, сразу пытается это сделать. Благодаря тому, что в вещательной среде он всегда имеет обратную связь, т.е. может определить, пытался ли кто-то еще передавать на его частоте, то он может установить возникновение конфликта при передаче. Такая обратная связь в среде LAN происходит практически мгновенно, в системах спутниковой связи задержка составляет около 270 мсек. Обнаружив конфликт, пользователь ожидает некоторый случайный отрезок времени, после чего повторяет попытку. Интервал времени на ожидание должен быть случайным, иначе конкуренты будут повторять попытки в одно и то же время, что приведет к их блокировке. Системы подобного типа, где пользователи конкурируют за получение доступа к общему каналу, называются системами с состязаниями.
Не важно, когда произошел конфликт: когда первый бит одного кадра «наехал» на последний бит другого кадра или как-то иначе, оба кадра считаются испорченными и должны быть переданы повторно. Контрольная сумма, защищающая данные в кадре, не позволяет различать разные случаи наложения кадров.
Какова эффективность системы ALOHA, измеренная в количестве кадров, которые избежали коллизий? Для ответа на этот вопрос рассмотрим следующую модель. Для ответа на эти вопросы рассмотрим следующую модель. Есть неограниченное число пользователей, работающих на компьютерах. Все что они могут делать, - это либо набирать текст, либо ждать, пока набранный текст будет передан. Когда пользователь заканчивает набирать очередную строку, он останавливается и ждет ответа от системы. Система пытается передать эту строку. Когда она сделает это, пользователь видит отклик и может продолжать работу.
Назовем временем кадра время, необходимое на передачу кадра стандартной фиксированной длины. Предполагаем, что число пользователей неограниченно, и они порождают кадры по закону Пуассона со средним S кадров за время кадра. Поскольку при S>1 очередь на передачу будет только расти и все кадры будут страдать от коллизий, то мы будем предполагать 0<S<1.
Также будем предполагать, что вероятность за время кадра сделать k попыток передачи распределена по закону Пуассона со средним G. Понятно, что должно быть GіS, иначе очередь будет расти бесконечно. При слабой загрузке (S»0) будет мало передач, а следовательно и коллизий, поэтому допустимо G»S. При высокой загрузке должно быть G>S. При любой нагрузке пропускная способность это - число кадров, которые надо передать, умноженное на вероятность успешной передачи. Если обозначить P0 вероятность отсутствия коллизий при передаче кадра, то S=GP0.
Рассмотрим внимательно, сколько времени нужно отправителю, чтобы обнаружить коллизию. Пусть он начал передачу в момент времени t0 и пусть требуется время t, чтобы кадр достиг самой отдаленной станции. Тогда, если в тот момент, когда кадр почти достиг этой отдаленной станции, она начнет передачу (ведь в системе ALOHA станция сначала передает, а потом слушает), то отправитель узнает об этом только через t0+2t (рисунок 4-1).
Рисунок 4-1. Время, требуемое на обнаружение коллизии

Вероятность появления k кадров при передаче кадра при распределении Пуассона равна


поэтому вероятность, что появится 0 кадров, равна e-G.
За двойное время кадра среднее число кадров будет равна 2G, отсюда
P0=e-2G
а так как S=GP0, то
S=Ge-2G
Зависимость между нагрузкой и пропускной способностью показана на рисунке 4-2 (нижний график). Максимальная пропускная способность достигается при G=0,5 при S=1/2e, что составляет примерно 18% от номинальной пропускной способности. Это означает, что если мы будем генерировать кадры с большей скоростью, чем 18% от скорости канала, то очереди переполнятся и система «захлебнется». Результат не очень вдохновляющий, но это плата за удобство: каждый передает, когда захочет.
Рисунок 4-2. Зависимость между нагрузкой и пропускной способностью системы ALOHA

4.2.1.2. Слотированная ALOHA
В 1972 году Робертс (Roberts) предложил модификацию чистой ALOHA. Все время работы канала разделяют на слоты. Размер слота определяют так, чтобы он был равен максимальному времени кадра. Ясно, что такая организация работы канала требует синхронизации. Кто-то, например, одна из станций испускает сигнал начала очередного слота. Поскольку передачу теперь можно начинать не в любой момент, а только по специальному сигналу, то время на обнаружение коллизии сокращается вдвое. Отсюда
S=Ge-G
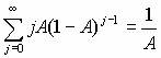
Как видно из рисунка 4-3, максимум пропускной способности слотированной ALOHA наступает при G=1, где S=1/e, т.е. около 0,37, что вдвое больше, чем у чистой ALOHA.
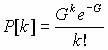
Рассмотрим, как G влияет на пропускную способность. Для этого подсчитаем вероятность успешной передачи кадра за k попыток. Так как e-G - вероятность отсутствия коллизии при передаче, то вероятность, что кадр будет передан ровно за k попыток, равна
Pk=e-G(1-e-G)k-1
Среднее ожидаемое число повторных передач будет равно

Эта экспоненциальная зависимость показывает, что с ростом G резко возрастает число повторных попыток. Поэтому незначительное увеличение загрузки канала ведет к резкому падению пропускной способности.
4.2.2. Протоколы множественного доступа с обнаружением несущей
Максимальная пропускная способность, какую мы можем получить для системы ALOHA, достигается при S=1/е. Это не удивительно, так как в этих системах станция не обращает внимания на то, что делают другие. Поэтому вероятность коллизии чрезвычайно высока. В локальных сетях есть возможность определить, что делают другие станции, и только после этого решать, что делать самому.
Протоколы, которые реализуют именно эту идею – сначала определить, занят канал или нет и только после этого действовать - называются протоколами с обнаружением несущей CSMA (Carrier Sensitive Multiple Access).
4.2.2.1. Настойчивые и ненастойчивые CSMA-протоколы
Согласно протоколу, который мы сейчас рассмотрим, станция, прежде чем что-либо передавать, определяет состояние канала. Если канал занят, то она ждет. Как только канал освободился, она пытается начать передачу. Если при этом произошла коллизия, она ожидает случайный интервал времени и все начинает с начала. Этот протокол называется настойчивым CSMA-протоколом первого уровня или 1-настойчивым CSMA-протоколом, потому что станция, следуя этому протоколу, начинает передачу с вероятностью 1, как только обнаруживает, что канал свободен.
Здесь важную роль играет задержка распространения сигнала в канале. Всегда есть шанс, что, как только одна станция начала передачу, другая также стала готовой передавать. Если вторая станция проверит состояние канала прежде, чем до нее дойдет сигнал от первой о том, что она заняла канал, то вторая станция сочтет канал свободным и начнет передачу. В результате - коллизия. Чем больше время задержки, тем больше вероятность такого случая, тем хуже производительность канала.
Однако даже если время задержки будет равно 0, коллизии все равно могут возникать. Например, если готовыми передавать оказались две станции, пока одна станция продолжает передавать. Они вежливо подождут, пока первая закончит передачу, а потом будут состязаться между собой. Тем не менее, этот протокол более эффективен, чем любая из систем ALOHA, так как станция учитывает состояние канала, прежде чем начать действовать.
Другой вариант CSMA-протокола - ненастойчивый CSMA-протокол. Основное отличие его от предыдущего в том, что готовая к передаче станция опрашивает канал. Если он свободен, то она начинает передачу. Если он занят, то она не будет настойчиво его опрашивать в ожидании, когда он освободится, а будет делать это через случайные отрезки времени. Это несколько увеличивает задержку при передаче, но общая эффективность протокола возрастает.
И, наконец, настойчивый CSMA-протокол уровня р. Он применяется к слотированным каналам. Когда станция готова к передаче, она опрашивает канал. Если он свободен, то она с вероятностью р передает свой кадр и с вероятностью q=1-p ждет следующего слота. Так она действует, пока не передаст кадр. Если произошла коллизия во время передачи, она ожидает случайный интервал времени и опрашивает канал опять. Если при опросе канала он оказался занят, станция ждет начала следующего слота, и весь алгоритм повторяется. На рисунке 4-3 показана пропускная способность этого протокола в зависимости от нагрузки.
Рисунок 4-3. Пропускная способность настойчивого CSMA-протокола уровня р по сравнению с другими

4.2.2.2. CSMA-протокол с обнаружением коллизий
Настойчивые и ненастойчивые CSMA-протоколы – несомненное улучшение протокола ALOHA, т.к. они начинают передачу, только проверив состояние канала. Другое улучшение этого протокола, которое можно сделать, состоит в том, что станции должны уметь определять коллизии как можно раньше, а не по окончании отправки кадра. Это экономит время и пропускную способность канала. Такой класс протоколов известен, как CSMA/CD - Carrier Sense Multiple Access with Collision Detection, т.е. протокол множественного доступа с контролем несущей и обнаружением коллизий. Протоколы этого класса широко используется в локальных сетях.
На рисунке 4-4 показана модель, которая используется во многих протоколах этого класса. В момент t0 станция заканчивает передачу очередного кадра. Все станции, у которых есть кадр для передачи, начинают передачу. Естественно, происходят коллизии, которые быстро обнаруживаются сравнением отправленного сигнала с тем, который есть на линии. Обнаружив коллизию, станция сразу прекращает передачу на случайный интервал времени, после чего все начинается сначала. Таким образом, в работе протокола CSMA/CD можно выделить три стадии: состязания, передачи и ожидания, когда нет кадров для передачи.
Рисунок 4-4. Стадии работы протокола CSMA/CD

Рассмотрим подробнее алгоритм состязаний.
Сколько времени станции, начавшей передачу, нужно, чтобы определить коллизию?
Обозначим через τ время распространения сигнала до самой удаленной станции на линии.
Для коаксиала в
Стоит подчеркнуть, что обнаружение коллизий – это аналоговый процесс. Поэтому, чтобы обнаруживать их, нужно использовать специальные кодировки на физическом уровне. Надо также отметить, что МАС-подуровень обеспечивает надежную передачу, используя специальные приемы кодирования данных. Примеры таких кодировок мы рассматривали в гл. 2 (см. Манчестерские коды).
4.2.3. Бесконфликтные протоколы
Хотя в протоколе CSMA/CD коллизии могут возникать только в период состязаний, тем не менее, при больших t и коротких кадрах они съедают часть пропускной способности канала. Здесь мы рассмотрим, как можно этих коллизий избежать.
Мы будем предполагать, что у нас есть N станций с адресами от 0 до N-1. Все адреса уникальны. Основным является вопрос: как определить, кто будет владеть каналом, когда закончится текущая передача?
4.2.3.1. Bit-Map-протокол
Идея этого метода показана на рисунке 4-5. Выделяют специальный период состязаний, где количество слотов равно числу станций. Каждая станция, имеющая кадр для передачи, проставляет 1 в свой слот. Поскольку мы рассматриваем канал с множественным доступом (т.е. все видят, что проходит в канале), то в конце состязаний все станции знают, кто будет передавать кадры и в каком порядке. Передача происходит в том же порядке, в каком пронумерованы слоты. Раз станции знают, кто будет передавать и в каком порядке, то конфликтов не будет. Если станция опоздала с заявкой на передачу, то она должна ждать следующего периода состязаний, который начнется по окончании передач, заявленных на предыдущем периоде состязаний. Такие протоколы, когда заявки на передачу откладываются и могут быть сделаны лишь в определенные периоды времени, называются протоколами с резервированием.
Рисунок 4-5. Bit-Map-протокол

Теперь рассмотрим производительность этого метода. Будем для удобства измерять время в количестве слотов состязаний. Будем также предполагать, что передача одного кадра будет занимать ровно d таких слотов. Для станции с небольшим номером, например, 0 или 1, время ожидания на передачу в среднем будет равняться 1,5 N, потому что она, пропустив начало состязаний, будет ждать 0,5 N в первом периоде состязаний и N единиц времени во втором. Другая участь у станций со старшими номерами. Эти станции будут ожидать в среднем N/2 слотов до начала передачи. Таким образом, в среднем любая станция должна будет ждать N слотов до передачи.
При небольшой нагрузке накладные расходы на передачу одного кадра будут N бит, а эффективность передачи одного кадра - d/(d+N), где N - накладные расходы на передачу кадра. При плотной загрузке, когда практически каждая станция каждый раз что-то посылает, накладные расходы будут 1 бит на кадр, т.е. d/(d+1). Средняя задержка кадра будет равна средней задержке кадра внутри очереди в станции плюс N(d+1)/2 слотов ожидания, когда кадр достигнет заголовка очереди. Отсюда видно, что с ростом N, хотя накладные расходы на передачу одного кадра и падают, задержка кадра в канале существенно возрастает, и эффективность падает. Следует также отметить, что если d и N - сопоставимые величины, то значительную часть пропускной способности канала мы будем тратить на состязания.
4.2.3.2. Адресный счетчик
Один из недостатков bit-map протокола - затраты в 1 бит на кадр. При коротких кадрах это накладно. Есть другая возможность, позволяющая повысить эффективность использования канала. Она основана на двоичном представлении адреса станции.
В этом методе каждая станция, готовая к передаче, выставляет свой адрес бит за битом, начиная со старшего разряда. Эти разряды подвергаются логическому сложению. Если станция выставила на очередном шаге 0, а результат логического сложения - 1, то она должна ждать и в текущих состязаниях участия не принимает. Этот метод проиллюстрирован на рисунке 4-6. Эффективность использования канала в этом методе - d/(d+lnN). Если структура заголовка кадра была выбрана так, чтобы его можно было использовать для выбора очередной станции для передачи, то lnN битов также будет использовано, тем самым эффективность использования канала достигнет 100%.
Рисунок 4-6. Адресный счетчик

Этот метод имеет один существенный недостаток – он не справедливый: чем больше номер станции, тем скорее она захватит канал. В 1979 году Мок (Mok) и Уорд (Ward) предложили модификацию этого метода, когда у станций динамически изменяется приоритет, на основе которого определяется победитель. Победивший в текущих состязаниях получает наименьший приоритет, который будет увеличиваться от состязания к состязанию.
4.2.4. Протоколы с ограниченным числом конфликтов
Рассмотренные нами только что протоколы показывают, что при небольшой загрузке конфликты не опасны ввиду небольшой задержки на передачу. По мере роста нагрузки они снижают эффективность использования канала. Поэтому при высокой загруженности канала арбитраж желателен и протоколы без коллизий предпочтительнее. А вот при низкой загрузке они лишь вызывают дополнительные накладные расходы.
Естественно попытаться создать протокол, объединяющий достоинства этих двух групп методов, т.е. использовать состязания при небольших нагрузках и бесконфликтные методы - при высоких. Такие протоколы существуют и называются протоколами с ограниченным числом конфликтов. Их изучением мы и закончим рассмотрение класса протоколов с контролем несущей.
4.2.4.1. Симметричная конфигурация протоколов с состязаниями
До сих пор мы рассматривали протоколы с состязаниями только в так называемой симметричной конфигурации: все станции, пытающиеся передать кадр, получали канал с одной и той же для всех вероятностью р. Оказывается, общая производительность системы может быть улучшена, если разным станциям будет сопоставлена разная вероятность.
Рассмотрим производительность в случае симметричного случая. Пусть у нас есть k станций, каждая из которых с вероятностью p готова передать кадр. Тогда вероятность, что какая-то станция успешно передаст свой кадр, равна kp(1-p)k-1. Эта вероятность достигает максимума при p=1/k. Тогда вероятность передать сообщение какой-либо станцией равна


График этой функции показан на рисунке 4-7. При небольшом числе станций шансы передать кадр достаточно велики, но с ростом числа станций эти шансы резко падают. Единственным способом увеличить шансы на передачу является сократить конфликты. Для этого в протоколах с ограниченным числом конфликтов все станции разбивают на непересекающиеся группы. За слот с номером 0 состязаются только станции из группы 0. Если передавать нечего или была коллизия, то начинают состязания за слот 1 члены группы 1, и т.д. В результате в каждом слоте конкуренция падает и мы имеет случай левой части кривой из рисунка 4-7. Основную сложность в этом методе составляет распределение станций по группам.
Рисунок 4-7. Вероятность передачи сообщения в симметричной конфигурации

4.2.4.2. Адаптивный древовидный протокол
Этот протокол устроен по принципу тестирования солдат американской армии на сифилис во второй мировой войне. У n солдат брали кровь на анализ. В первой пробе в общей пробирке смешивали часть крови каждого солдата. Если тест давал отрицательный результат, то все n считались здоровыми. Если тест давал положительную реакцию, то в пробирке смешивали только кровь первой половины солдат и опять тестировали. Если был положительный результат, то эту половину делили опять пополам и т.д., пока не обнаруживали носителя.
На рисунке 4-8 показано, как эта процедура применяется к станциям. Станции - листья. За слот 0 борются все станции. Если какая-то победила - хорошо. Если нет, то за слот 1 борются только станции поддерева с корнем в вершине 2. Если какая-то победила, то следующий слот резервируется для станций поддерева 3. Если был конфликт, то за следующий слот борются станции поддерева 4, и т.д.
Рисунок 4-8. Дерево для восьми станций

Когда число станций велико и все они готовы передавать, то вряд ли целесообразно начинать поиск с уровня 0 в дереве. Возникает вопрос: с какого уровня надо начинать эту процедуру при заданном числе станций? Пусть число станций, готовых к передаче, нормально распределено. Обозначим это число через q. Тогда число станций, готовых к передаче и расположенных ниже уровня i, будет ровно 2-iq. Заметим, что их доля от общего числа станций, расположенных в дереве ниже уровня i, равна 2-i. Естественно, надо подобрать такое соотношение между i и q, когда количество конкурирующих станций будет 1, т.е. 2-iq=1, или log2q=i.
У этого алгоритма есть много вариантов. Мы здесь описали лишь основную идею.
4.2.5. Протоколы с множественным доступом и разделением частот
Иной подход к распределению доступа к каналу основан на разделении канала на подканалы, используя FDM-, TDM-метод или сразу оба этих метода.
Здесь мы рассмотрим работу протоколов множественного доступа для оптоволоконных систем. Они построены на идее разделения частот. Вся полоса разделяется на каналы по два на станцию. Один, узкий, - управляющий канал, второй, широкий, - для передачи данных. Каждый канал разбит на слоты. Все слоты синхронизируются от единых часов. Отмечается только нулевой слот, чтобы можно было определить начало каждого цикла.
Обозначим через m число слотов в управляющем канале и через n+1 - в канале данных. Из них n слотов - для данных, а последний - для сообщения о статусе канала. Протокол поддерживает три класса трафика:
1. Постоянный с соединением (видео)
2. Переменный с соединением (передача файлов)
3. Дейтаграммный (типа UDP)
У каждой станции есть два ресивера и два трансивера:
1. Ресивер для фиксированной длины волны для канала управления
2. Настраиваемый трансивер для передачи в каналы управления других станций
3. Трансивер для фиксированной длины волны для передачи данных
4. Настраиваемый ресивер для получения данных
Другими словами, каждая станция постоянно слушает свой управляющий канал, но должна настраиваться при приеме на волну передающей станции. Рассмотрим, как станция А устанавливает соединение класса 2 со станцией В для передачи файла. А настраивается на управляющий канал станции В, чтобы определить, какие слоты уже заняты, а какие свободны. На рисунке 4-9 видно, что у В из 8 управляющих слотов свободны 0, 4 и 5.
Рисунок 4-9. Множественный доступ с разделением частот

А выбирает, например, 4-й слот и помещает туда свой CONNECTION REQUEST. Станция В видит этот запрос и закрепляет слот 4 за станцией А, о чем сообщает ей через статусный слот. Для станции А это означает, что установлено однонаправленное соединение от А к В. Если нужно двунаправленное соединение, то В должна повторить все, что сделала А. Если в момент попытки А захватить слот у В другая станция, например, С, также попытается это сделать, возникнет конфликт, о котором и А, и С узнают через статусный слот управляющего канала.
После того как соединение установлено, А посылает В управляющее сообщение типа: «Жди. В слоте 3 канала данных есть кадр». Получив такое сообщение, В настраивается на волну канала А и считывает кадр. Таким образом, мы имеем бесконфликтный канал. Хотя может случиться, что если А и С имеют соединение с В и оба скажут «смотри на слот 3, там кадр от меня», то от какого из двух получит сообщение В, сказать заранее нельзя.
В случае дейтаграмм А шлет не запрос на соединение, а сообщение типа: «В слоте 3 для тебя есть кадр». Существует несколько вариантов этого WDMA-протокола.
4.2.6. Протоколы беспроводной связи
Этот класс протоколов используют мобильные компьютеры. Чтобы быть по-настоящему мобильным, компьютер использует радиоканал для связи. Локальные сети, построенные на основе радиоканала, существенно отличаются от обычных локальных сетей. Они имеют специальный МАС-подуровень.
Обычная конфигурация таких сетей - в здании
размещается сеть стационарных приемопередающих станций, соединенных кабелем.
Если настроить приемопередатчики станций и компьютеров на расстояние 3-
Далее мы будем предполагать ради простоты изложения, что все передатчики работают на одной и той же частоте. Когда приемник оказывается в зоне действия двух активных передатчиков, то он принимает искаженный сигнал, который рассматривается как бесполезный шум.
Естественно было бы попытаться использовать протокол CSMA для радиоканала. Однако в нашем случае возникают проблемы. Рассмотрим рисунок 4-10. Станции А и В могут взаимодействовать друг с другом, станция С может взаимодействовать с B и D, но не с А. Рассмотрим, что будет происходить, когда А будет передавать данные В (рисунок 4-10 (а)). Поскольку С вне действия А, то она не слышит передачи А и может начать свою, что приведет к коллизии. Эта проблема станции, не способной увидеть конкурента, называется проблемой спрятанной станции.
Рисунок 4-10. Беспроводная локальная сеть

Рассмотрим теперь, что будет, если В начнет передачу, например, А. С услышит эту передачу и ложно заключит, что она не может передавать станции D, хотя она свободна. Эта ситуация называется проблемой мнимой станции.
Итак, все сводится к тому, как узнать, есть ли реальная передача абоненту, которому надо передать сообщение. В силу ограниченности диапазона действия каждого передатчика протокол CSMA не подходит.
Первые протоколы, разработанные специально для беспроводных сетей, относились к протоколам класса МАСА (Multiple Access Collision Avoidance). Их идея заключалась в том, чтобы отправитель принудил получателя послать короткое сообщение перед началом передачи. Все станции, находящиеся в зоне действия получателя, услышат этот сигнал и не начнут передачи. Этот протокол иллюстрирует рисунок 4-11.
Рисунок 4-11. Протокол MACA

Рассмотрим, как А теперь передает сообщение В. А начинает с передачи специального сообщения RTS (Request To Send). Это короткое сообщение (30 байт) несет информацию (например, длину) о настоящем сообщении. В в ответ шлет сообщение CLS (Clear To Send). В этом сообщении повторяются данные о сообщении, которое последует. Получив CTS, А начинает передачу.
Теперь рассмотрим, как другие станции реагируют на RTS- и CTS-сообщения. Станции, близко расположенные к A, слышат RTS и знают, что надо хранить молчание достаточное время, чтобы сообщение было передано. Станции, близкие к В, слышат CTS и не станут инициировать передачу для В.
Однако, несмотря на все эти предосторожности, коллизии все-таки могут случаться. Например, если две станции в одно и то же время пошлют RTS-сообщения. Эти сообщения будут конфликтовать, поэтому никакой реакции на них не поступит. Станции переждут некоторый случайный интервал времени и повторят попытку. Подробно мы будем рассматривать алгоритмы разрешения подобных конфликтов при изучении стандарта IEEE 802.3.
4.2.7. Цифровая сотовая радиосвязь
Здесь мы рассмотрим иной подход к беспроводной сетевой связи, отличающийся от того, что мы рассматривали для беспроводных LAN. Он основан на идеях сотовой радиосвязи, предшественником которой была система AMPS, которую мы рассматривали в предыдущей главе. Эти системы ближе к телефонным, так как они ориентированы на установление соединения на каждый звонок, а не на пакет. Установление соединения в этих сетях может длиться минуты, а не доли секунд. В этом разделе мы рассмотрим, как выделяются каналы и устанавливаются соединения в двух системах – GSM и CDMA.
4.2.7.1. GSM – Глобальная система для мобильной связи
Системы сотовой радиосвязи на физическом уровне мы достаточно подробно рассматривали в главе 2. Хотя первые системы сотовой радиосвязи были аналоговыми, их потомки стали цифровыми. Этому есть, как мы уже говорили, как минимум три причины:
· природа оцифрованных данных не важна, а поэтому можно интегрировать в одном и том же канале и голос, и факс, и данные
· для оцифрованных данных есть хорошие алгоритмы сжатия, обнаружения и исправления ошибок
· данные в цифровой форме можно шифровать с целью безопасности
Конечно, было бы весьма желательно создать один стандарт для всех в области сотовой связи. Однако, как мы уже отмечали, в области радиосвязи это невозможно. В США и Японии, созданы свои системы IS-54 и JDC, выделены свои диапазоны частот, отличные от Европейских.
Европейская система GSM, которая с самого начала создавалась как цифровая, свободна от каких-либо компромиссов ради достижения совместимости с уже существующими системами. На сегодня эта самая распространенная система, которая есть и в США, правда в несколько отличном от европейского диапазона частот. В Европе используют частоты 900 и 1800 МГц, а в США - 1900 МГц.
Рисунок 4-12. Устройство GSM-каналов

Напомним, что в каждой соте выделается до 200 каналов: 124 канала - для абонентов, остальные - резервные и служебные. Каждый канал состоит из двух полос: входящей – от базы к мобильной станции (терминалу) и исходящей – от мобильной станции (терминала) к базе. Каждая полоса имеет ширину в 200 кГц (рисунок 4-12). Каждый из 124 частотных каналов может поддерживать до 8 соединений, используя технику TDM-мультиплексирования. Теоретически может быть до 992 соединений одновременно. Однако не все каналы используются в интересах качества передачи из-за частотных конфликтов между каналами. На рисунке 4-13 показана иерархия кадров в GSM, которая имеет достаточно сложную структуру. Каждый TDM-слот состоит из 8 кадров данных по 148 бит каждый. Один 1250-битовый TDM-кадр занимает 4,615 мсек. TDM-кадры объединяются в 26-слотовый мультикадр, который занимает 120 мсек. Кроме этого, есть 51-слотовый мультикадр, который не показан на рисунке и который используется для нескольких каналов управления на системном уровне. Например, таких, как канал управления сотой – по этому каналу передается информация для поддержки базы данных соты, канал общего управления, который отвечает за регистрацию новых мобильных терминалов, поступивших в зону соты, выделение слотов для таких терминалов и многое другое.
Рисунок 4-13. Иерархия кадров в GSM

4.2.7.2. CDMA (Code Division Multiple Access) – множественный доступ на основе разделения кодов
GSM – пример системы, где использована довольно сложная комбинация техник FDM, TDM, ALOHA для беспроводной сотовой связи. В ней ни один из пользователей системы не может использовать всю полосу пропускания, предоставленную системе. Если при этом принять в расчет сужение полосы пропускания из-за проблем на границе сот, падение мощности сигналов от мобильных терминалов в пограничных сотовых зонах, накладных расходов на шифрование в целях безопасности, то становится ясно, что высокую скорость передачи в этой системе получить не просто.
Метод CDMA основан на принципиально иной идеи – каждый участник связи может использовать всю полосу пропускания канала. У каждого свой уникальный «язык», поэтому все могут говорить сразу. Понимать друг друга будут только те, кто говорит на одном языке.
В CDMA-системе каждый бит сообщения кодируется последовательностью из m частиц. Бит со значением 0 передается инвертированной последовательностью частиц, бит 1 – прямой. Каждой мобильной станции присваивается уникальный код – последовательность частиц.
Ясно, что такая техника возможна, только если при увеличении объема передаваемой информации будет пропорционально увеличиваться ширина полосы пропускания. При использовании техники FDM канал 1 МГц может быть разделен на 100 подканалов по 10 кГц каждый. Таким образом, мы сможем осуществлять передачу по таким подканалам со скоростью 10 кбит/сек. (1 бит на 1 Гц). В случае CDMA каждый может использовать всю полосу, т.е. 1 МГц. Если мы будем использовать 10-разрядные последовательности частиц (что предполагает 210 разных последовательностей), то сможем передавать данные со скоростью 100 кбит/сек.
Кроме этого, поскольку каждая станция имеет уникальную последовательность частиц, то не требуется дополнительного шифрования. Отсюда ясно преимущество CDMA по отношению к TDM- и FDM-техникам.
Идея уникальности последовательности частиц для каждой станции основана на ортогональных кодах. Суть этих кодов состоит в следующем: если обозначить последовательности частиц для станции S как S, а для станции T - T, то


На рисунке 4-14 приведен пример, поясняющий механизм работы ортогональных последовательностей.
Рисунок 4-14. Метод ортогональных последовательностей

Как получатель узнает последовательность частиц отправителя? Например, за счет соответствующего быстродействия он может слышать всех, обрабатывая алгоритмом декодирования для каждой последовательности в параллель. На практике поступают несколько иначе. Однако мы не будем здесь заниматься этим вопросом.
4.3. Стандарт IEEE 802 для локальных и муниципальных сетей
Перейдем от изучения абстрактных протоколов к рассмотрению конкретных стандартов, используемых в реальных транспортных системах. Все стандарты для локальных сетей сконцентрированы в документе IEEE 802. Этот документ разделен на части. IEEE 802.1 содержит введение в стандарты и описание примитивов. IEEE 802.2 описывает протокол LLC (Logical Link Control – управление логическим каналом), который является верхней частью канального протокола. Стандарты с IEEE 802.3 по IEEE 802.5 описывают протоколы CSMA/CD для локальных сетей, шину с маркером и кольцо с маркером. Каждый стандарт покрывает физический уровень и МАС-подуровень. К их изучению мы и переходим.
4.3.1. Стандарт IEEE 802.3 и Ethernet
Стандарт IEEE 802.3 относится к 1-настойчивым протоколам CSMA/CD для локальных сетей. Напомним, что прежде чем начать передачу, станция, использующая такой протокол, опрашивает канал. Если он занят, то она ждет и как только он освободится, она начинает передачу. Если несколько станций одновременно начали передачу, то возникает коллизия. Тут же передача прекращается. Станции ожидают некоторый случайный отрезок времени, и все начинается сначала.
Стандарт IEEE 802.3 имеет очень интересную историю.
Начало положила ALOHA. Потом компания XEROX построила CSMA/CD канал на 2,94
Мбит/сек., объединивший 100 персональных компьютеров на
Ethernet Xerox’а получил такой большой успех, что Xerox, DEC и Intel решили объединиться и создали Ethernet 10 Мбит/сек. Эта разработка и составила основу стандарта IEEE 802.3. Отличие стандарта от оригинальной разработки состояло в том, что стандарт охватывал все семейство 1-настойчивых алгоритмов, работающих со скоростью от 1-10 Мбит/сек. Есть отличия в заголовке кадров. Стандарт определяет также параметры физической среды для 50-омного коаксиального кабеля.
4.3.1.1. IEEE 802. Кабели
Всего по стандарту допускается четыре
категории кабелей, которые перечислены в таблице 4-15. Исторически первым был так
называемый «толстый» Ethernet - 10Base5. Это желтого
цвета кабель с отметками через каждые
Таблица 4-15. Наиболее распространенные средства передачи данных стандарта IEEE 802
|
Название |
Тип кабеля |
Максимальная длина сегмента |
Кол-во узлов на сегмент |
Преимущества |
|
10Base5 |
Толстый коаксиал |
|
100 |
Подходит для магистралей |
|
10Base2 |
Тонкий коаксиал |
|
30 |
Самый дешевый |
|
10Base-T |
Витая пара |
|
1024 |
Простое обслуживание |
|
10Base-F |
Оптоволокно |
|
1024 |
Идеально для соединения зданий |
Вторым исторически появился кабель 10Base2 -
«тонкий» Ethernet. Это более простой в употреблении
кабель с простым подключением через BNC-коннектор.
Этот коннектор представляет собой Т-образное
соединение коаксиальных кабелей. Кабель для тонкого Ethernet дешевле. Однако его сегмент не должен превосходить
Проблемы поиска обрыва, частичного повреждения кабеля или плохого контакта в коннекторе привели к созданию совершенно иной кабельной конфигурации на витой паре. Здесь каждая машина соединена со специальным устройством - хабом (hub) витой парой. Этот способ подключения называется 10Base-T.
Данные три способа подключения показаны на рисунке 4-16. В 10Base5 (рисунок 4-16 (a)) трансивер размещается прямо на кабеле. Он отвечает за
обнаружение несущей частоты и коллизий. Когда трансивер обнаруживает коллизию,
он посылает специальный сигнал по кабелю, чтобы гарантировать, что другие
трансиверы услышат коллизию. Трансивер на кабеле соединяется с компьютером трансиверным кабелем. Его длина не должна превосходить
Рисунок 4-16. Три способа подключения по стандарту IEEE 802

Трансиверный кабель подключается к контроллеру в компьютере. На этом контроллере есть специальная микросхема, которая отвечает за прием кадров и их отправку, проверку и формирование контрольной суммы. В некоторых случаях она отвечает за управление буферами на канальном уровне, очередью буферов на отправку, прямой доступ к памяти машины и другие вопросы доступа к сети.
У 10Base2 трансивер расположен на контроллере. Каждая машина должна иметь свой индивидуальный трансивер (рисунок 4-16 (b)).
У 10Base-T трансивера нет вовсе (рисунок 4-16
(c)). Машина соединяется с хабом
витой парой, длина которой не должна превосходить
Наконец, последний вид кабеля 10Base-F - оптоволоконный вариант. Он относительно дорог, но низкий уровень шума и длина одного сегмента - важные достоинства этого кабеля.
На рисунке 4-17 показаны различные топологии использования Ethernet.
Чтобы увеличить длину сегмента, используются репитеры. Это устройство
физического уровня, которое отвечает за очистку, усиление и передачу сигнала.
Репитеры не могут отстоять более чем на
Рисунок 4-17. Топологии Ethernet

4.3.1.2. Манчестерский код
Ни одна версия IEEE 802.3 не использует прямого кодирования, т.к. оно очень неоднозначно. Так, например, оно не позволяет однозначно отличить 00100011 от 10001100 или 01000110 без дополнительных усилий на синхронизацию. Нужен был метод, который бы позволял определять начало, середину и конец передачи каждого бита без особой побитной синхронизации. Было предложено два метода для этого: манчестерский код и дифференциальный манчестерский код (см. главу 2).
При использовании Манчестерского кода весь период передачи бита разбивается на два равных интервала. При передаче 1 передается высокий сигнал в первом интервале и низкий - во втором. При передаче 0 - наоборот. Такой подход имеет переход в середине передачи каждого бита, что позволяет синхронизироваться приемнику и передатчику. Недостатком такого подхода является то, что пропускная способность канала падает вдвое по сравнению с прямым кодированием. Манчестерский код показан на рисунке 4-18.
Рисунок 4-18. Манчестерский код

При использовании дифференциального манчестерского кода при передаче 1 в начале передачи нет различия в уровне с предыдущим интервалом передачи, т.е. нет перепада в уровне в начале каждого интервала, а при передаче 0 - есть. Этот способ кодирования обладает лучшей защищенностью, чем просто манчестерский код, но требует более сложного оборудования.
4.3.1.3. IEEE 802.3: протокол МАС-подуровня
Структура кадра в IEEE 802.3 показана на рисунке 4-19. Кадр начинается с преамбулы - 7 байт вида 10101010, которая в манчестерском коде на скорости 10 МГц обеспечивает 5,6 мксек для синхронизации приемника и передатчика. Затем следует стартовый байт 10101011, обозначающий начало передачи.
Рисунок 4-19. Структура кадра IEEE 802.3

Хотя стандарт допускает двух- и шестибайтные адреса, для 10Base используются только 6-байтные. 0 в старшем бите адреса получателя указывает на обычный адрес. Если там 1, это признак группового адреса. Групповой адрес позволяет обращаться сразу к нескольким станциям одновременно. Если адрес получателя состоит из одних единиц - это вещательный адрес, т.е. этот кадр должны получить все станции в сети.
Другой интересной возможностью адресации является различение локального адреса и глобального. На то, какой адрес используется, указывают 46 бит. Если этот бит 1 - это локальный адрес, который устанавливает сетевой администратор и вне данной сети этот адрес смысла не имеет. Глобальный адрес устанавливает IEEE и гарантирует, что нигде в мире нет такого второго. С помощью 46 битов можно получить 7х1013 глобальных адресов.
Поле длины указывает на длину поля данных. Она может быть от 0 до 1500 байт. То, что поле данных может иметь длину 0, вызывает проблему для обнаружения коллизий. Поэтому IEEE 802.3 предписывает, что кадр не может быть короче 64 байт. Если длина поля данных недостаточна, то поле Pad компенсирует нехватку длины.
Ограничение на длину кадра связано со
следующей проблемой. Если кадр короткий, то станция может закончить передачу
прежде, чем начало кадра достигнет самого отдаленного получателя. В этом случае
она может пропустить коллизию и ошибочно считать, что кадр доставлен
благополучно. Пусть τ - минимальное время распространения сигнала до самой удаленной
станции. Тогда минимальная длина кадра должна быть такой, чтобы время передачи
кадра такой длины занимало не менее 2τ секунд. Эту ситуацию поясняет рисунок
4-20. Для IEEE 802.3 (
Рисунок 4-20. Обнаружение коллизии

Последнее поле - контрольная сумма, которая формируется с помощью CRC-кода. Мы рассматривали эти коды в главе 3.
4.3.1.4. Двоичный экспоненциальный алгоритм задержки
Теперь рассмотрим, как определяется случайная
величина задержки при возникновении коллизий. При возникновении коллизии время
разбивается на слоты длиной, соответствующей наибольшему времени распространения
сигнала в оба конца (2τ).
Для 802.3, как уже было указано, это время при длине линии
При первой коллизии станции, участвовавшие в ней, случайно выбирают 0 или 1 слот для ожидания. Если они выберут одно и то же число, то коллизия возникнет опять. Тогда выбор будет происходить среди чисел 0, 2i, 1, где i - порядковый номер очередной коллизии.
После 10 коллизий число слотов достигает 1023 и далее не увеличивается, после 16 коллизий Ethernet-контроллер фиксирует ошибку и сообщает о ней более высокому уровню стека протоколов.
Этот алгоритм называется алгоритм двоичной экспоненциальной задержки. Он позволяет динамически подстраиваться под число конкурирующих станций. Если для каждой коллизии случайный интервал был бы равен 1023, то вероятность повторной коллизии для двух станций была бы пренебрежимо мала. Однако среднее время ожидания разрешения коллизии было бы сотни слотов. Если бы случайный интервал был бы постоянно 0 или 1, то при 100 станциях разрешение коллизии потребовало бы годы, так как 99 станций должны были бы случайно выбрать, скажем, 0 и лишь одна - 1.
4.3.1.5. Производительность IEEE 802.3
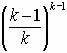
Здесь мы рассмотрим производительность 802.3 при условии плотной и постоянной нагрузки. У нас есть k станций, всегда готовых к передаче. С целью упрощения анализа при коллизиях мы будем рассматривать не алгоритм двоичной экспоненциальной задержки, а постоянную вероятность повторной передачи в каждом слоте. Если каждая станция участвует в состязаниях в слоте с вероятностью p, то вероятность А, что некоторая станция захватит канал в этом слоте, равна
![]()
![]()
А достигает максимума при p=1/k , А→1/е при k→∞. Вероятность, что период состязаний будет иметь j слотов, равна A(1-A)j-1. Отсюда среднее число слотов в состязаниях равно


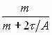
Так как каждый слот имеет длительность 2τ, то средний интервал состязаний w равен 2τ/А. Предполагая оптимальное значение р, w
е
5.4
. Если передача кадра средней длины занимает m сек, то при
условии большого числа станций, постоянно имеющих кадры для передачи,
эффективность канала равна


Из этой формулы видно, что чем длиннее
кабель, тем хуже эффективность, т.к. растет длительность периода состязаний.
При длительности 51,2 мксек, что соответствует
На рисунке 4-21 показана зависимость эффективности канала от числа готовых к передаче станций при сделанных выше предположениях о длине канала, скорости передачи и минимальной длине кадра. При этом следует учитывать, что хотя с ростом длины кадра эффективность канала растет, время задержки кадра в системе также увеличивается.
Рисунок 4-21. Эффективность канала 802.3

Как показали экспериментальные исследования, предположение о том, что трафик в канале может быть описан распределением Пуассона (опираясь на это предположение, было сделано очень много теоретических исследований) не верно. Увеличение длительности наблюдений не сглаживает трафик, не дает определенного среднего значения.
4.3.2. Стандарт IEEE 802.4: шина с маркером
Стандарт 802.3 получил очень широкое распространение. Однако там, где возникала потребность в режиме реального времени, он вызывал нарекания. Во-первых, потому что с ненулевой вероятностью станция может ожидать сколь угодно долго отправки кадра. В стандарте нет понятия приоритета кадра, что очень важно для приложений реального времени.
Простейшая система с заранее известным наихудшим случаем ожидания - кольцо. Если есть n станций, соединенных в кольцо, и передача кадра занимает Т сек., то максимальное время ожидания передачи кадра будет не более nT. Специалистам по системам реального времени нравилась идея кольца, но не нравилась ее физическая реализация. Во-первых, кольцо не надежно - обрыв в одном месте разрушает всю систему. Во-вторых, оно плохо соответствовало топологии многих сборочных линий на заводах. В результате был разработан стандарт, который объединял достоинства 802.3 с гарантированным наихудшим временем передачи и приоритетностью кадров.
Этот стандарт был назван 802.4 и описывал шину с маркером. Физически шина с маркером имеет линейную или древовидную топологию. Логически станции объединены в кольцо (рисунок 4-22), где каждая станция знает своего соседа справа и слева. Когда кольцо инициализировано, станция с наибольшим номером может послать первый кадр. После этого она передает разрешение на передачу кадра своему непосредственному соседу, посылая ему специальный управляющий кадр - маркер. Передача кадра разрешена только той станции, которая владеет маркером. Так как маркер один, то всегда только одна станция может осуществлять передачу, и коллизий не возникает.
Рисунок 4-22. Маркерная шина

Важно отметить, что на порядок передач влияет только логические номера станций, а не их физическое размещение. Маркер передается только логическому соседу. Естественно, протокол должен учитывать случай, когда станция подключается к кольцу в ходе функционирования.
802.4 МАС - очень сложный протокол, который поддерживает 10 таймеров и более 24 внутренних переменных. Его описание занимает более 200 страниц.
На физическом уровне 802.4 использует коаксиальный 75-омный кабель, три разные схемы аналоговой модуляции, скорость передачи - 1,5 и 10 Мбит/сек. Он полностью несовместим с физическим уровнем 802.3.
4.3.2.1. МАС-протокол для шины с маркером
При инициализации станции образуют кольцо в соответствии с их адресами от старших к младшим. Маркер передают от станций с большими адресами к станциям с меньшими адресами. Каждый раз, когда станция получает маркер, она может передавать кадры в течение определенного промежутка времени. После этого она должна передать маркер следующей станции. Если кадры достаточно короткие, то может быть послано несколько последовательных кадров. Если у станции нет данных для передачи, то она передает маркер дальше, немедленно по его получении.
Шина с маркером определяет четыре приоритета для кадров: 0, 2, 4 и 6. Для простоты можно представить, что станция разделена внутри на четыре подстанции, по одной на уровень приоритета. Как только кадр поступает сверху, он распределяется на одну из подстанций в соответствии с приоритетом. Таким образом, каждая подстанция имеет свою очередь кадров на передачу.
Когда маркер поступил по кабелю, он попадает на подстанцию с приоритетом 6. Если у нее есть кадр на передачу, она его передает, если нет, то маркер передается подстанции с приоритетом 4. Эта подстанция передает свои кадры в течение своего интервала времени, либо по истечении определенного временного промежутка передает маркер подстанции с приоритетом 2. Так продолжается до тех пор, пока либо подстанция с приоритетом 0 перешлет свои кадры, либо ее таймер исчерпается и она отдаст маркер следующей станции.
Из приведенной схемы ясно, что подстанция с номером 6 имеет наивысший приоритет и в любом случае ее кадрам обеспечена некая гарантированная пропускная способность. Эта подстанция и используется для передачи трафика реального времени. Например, пусть имеется сеть из 50 станций, работающая на скорости 10 Мбит/сек. и настроенная так, что на подстанции с приоритетом 6 остается 1/3 пропускной способности, тогда каждая станция имеет гарантированно для приоритета 6 скорость не менее 67 Кбит/сек. Такая пропускная способность может быть использована для управления устройствами в масштабе реального времени.
На рисунке 4-23 показан формат кадра для шины с маркером. Поле Preamble предназначено для синхронизации таймера получателя. Его длина не короче одного байта. Поля Start delimiter и End delimiter предназначены для распознавания начала и конца кадра. Они имеют специальную кодировку, которая не может встретиться у пользователя. Поэтому поля длины кадра не требуется. Поле Frame control отделяет управляющие поля от полей данных. Для кадров данных здесь указывается приоритет кадра. Это поле также используется станцией-получателем для подтверждения корректного или некорректного получения кадра. Для этого отправитель устанавливает в этом поле специальный индикатор подтверждения. При наличии такой установки станция-получатель, даже не имея маркера, может послать подтверждение. Без этого поля получатель был бы лишен возможности давать подтверждения - у него было бы маркера.
Рисунок 4-23. Формат кадра для шины с маркером

В управляющих кадрах это поле используется для указания типа кадра. Среди них передача маркера, всевозможные кадры для поддержки кольца, например, включение станции в кольцо и исключение станции из кольца.
Поле адреса получателя и адреса отправителя такие же, как и в стандарте 802.3. В нем адреса могут быть 2-байтные или 6-байтные. Поле данных может иметь длину не более 8182 байта при 2-байтном адресе и 8174 - при 6-байтном адресе. Это в пять раз длиннее, чем в 802.3, т.к. в нем необходимо предотвратить захват одной станцией канала надолго. Здесь это не опасно, т.к. есть таймер, а для реального времени бывает полезно иметь длинные кадры. Контрольная сумма, как и в 802.3, используется для обнаружения ошибок.
4.3.2.2. Поддержка логического кольца
Поддержка логического кольца в основном связана с проблемами включения и выключения станций. МАС-подуровень 802.4 детально описывает алгоритм, позволяющий сохранять известным наихудший случай при передаче маркера. Ниже мы рассмотрим кадры, которые используются в этом случае (таблица 4-24).
Таблица 4-24. Управляющие кадры шины с маркером
|
Контрольное поле |
Название |
Значение поля |
|
00000000 |
Claim_token |
Запуск маркера при инициализации |
|
00000001 |
Solicit_successor_1 |
Разрешение присоединиться к кольцу |
|
00000010 |
Solicit_successor_2 |
Разрешение присоединиться к кольцу |
|
00000011 |
Who_follows |
Восстановление при потере маркера |
|
00000100 |
Resolve_contention |
Запуск разрешения коллизии |
|
00001000 |
Token |
Передача маркера |
|
00001100 |
Set_successor |
Разрешение покинуть кольцо |
Когда кольцо установлено, интерфейс каждой станции хранит адреса предшествующей и последующей станции. Периодически держатель маркера рассылает один из кадров SOLICIT_SUCCESSOR, предлагая новым станциям присоединиться к кольцу. В этом кадре указаны адрес отправителя и адрес следующей за ним станции в кольце. Станции с адресами в этом диапазоне адресов могут присоединиться к кольцу. Таким образом, сохраняется упорядоченность (по возрастанию) адресов в кольце.
Если ни одна станция не откликнулась на SOLICIT_SUCCESSOR, то станция-обладатель маркера закрывает окно ответа и продолжает функционировать, как обычно. Если есть ровно один отклик, то откликнувшаяся станция включается в кольцо и становится следующей в кольце. Если две или более станции откликнулись, то фиксируется коллизия. Станция-обладатель маркера запускает алгоритм разрешения коллизий, посылая кадр RESOLVE_CONTENTION. Этот алгоритм - модификация алгоритма обратного двоичного счетчика на два разряда.
У каждой станции в интерфейсе есть два бита, устанавливаемых случайно. Их значения 0, 1, 2 и 3. Значение этих битов определяют величину задержки при отклике станции на приглашение подключиться к кольцу. Значения этих бит переустанавливаются каждые 50 мсек.
Процедура подключения новой станции к кольцу не нарушает наихудшее гарантированное время для передачи маркера по кольцу. У каждой станции есть таймер, который сбрасывается, когда станция получает маркер. Прежде чем он будет сброшен, его значение сравнивается с некоторой величиной. Если оно больше, то процедура подключения станции к кольцу не запускается. В любом случае за один раз подключается не более одной станции. Теоретически станция может ждать подключения к кольцу сколь угодно долго, на практике, не более нескольких секунд. Однако с точки зрения приложений реального времени это одно из наиболее слабых мест 802.4.
Отключение станции от кольца очень просто. Станция Х с предшественником S и последователем Р шлет кадр SET_SUCCESSOR, который указывает Р, что отныне его предшественником является S. После этого Х прекращает передачу.
Инициализация кольца - это специальный случай подключения станции к кольцу. В начальный момент станция включается и слушает канал. Если она не обнаруживает признаков передачи, то она генерирует маркер CLAIM_TOKEN. Если конкурентов не обнаружилось, то она генерирует маркер сама и устанавливает кольцо из одной станции. Периодически она генерирует кадры SOLICIT_SUCCESSOR, приглашая другие станции включиться в кольцо. Если в начальный момент сразу две станции были включены, то запускается алгоритм обратного двоичного счетчика с двумя разрядами.
Из-за ошибок передач и сбоев оборудования могут возникать проблем с передачей маркера. Например, станция передала маркер соседней, а та неожиданно «грохнулась» - что делать? Стандарт дает прямолинейное решение - передав маркер, станция слушает. Если не последует передач кадра или маркера, то маркер посылается вторично.
Если и при повторной передаче маркера ничего не последовало, то станция посылает кадр WHO_FOLLOWS, где указан не отвечающий сосед. Увидев этот кадр, станция, для которой не отвечающая станция - предшественник, шлет кадр SET_SUCCESSOR и становится новым соседом. При этом не отвечающая станция за плохое поведение исключается из кольца.
Теперь предположим, что остановилась не только следующая станция, но и следующая за ней. В этом случае запускается новая процедура посылкой кадра SOLICIT_SUCCESSOR_2. В ней участвует процедура разрешения конфликтов. При этом все, кто хочет подключиться к кольцу, могут это сделать. Фактически кольцо переустанавливается.
Другой вид проблем возникает, когда останавливается держатель маркера и маркер исчезает из кольца. Эта проблема решается запуском процедуры инициализации кольца. У каждой станции есть таймер, который сбрасывается каждый раз, когда маркер появляется. Если значение этого таймера превысит некоторой заранее установленное значение, то станция генерирует кадр CLAIM_TOKEN. При этом запускается алгоритм обратного двоичного счетчика.
Если оказалось два и более маркера на шине, станция, владеющая маркером, увидев передачу маркера на шине, сбрасывает свой маркер. Так повторяется до тех пор, пока не останется ровно один маркер в системе.
4.3.3. Стандарт IEEE 802.5: кольцо с маркером
Сети с кольцевой топологией известны давно и используются широко. Среди их многочисленных достоинств есть одно особенно важное - это не среда с множественным доступом, а последовательность соединений точка-точка, образующих кольцо. Соединения точка-точка хорошо изучены, могут работать на разных физических средах: витая пара, коаксиал или оптоволокно. Способ передачи в основном цифровой, в то время как у 802.3 есть значительный аналоговый компонент. Кольцо также представляет справедливую среду с известной верхней границей доступа к каналу. В силу этих причин IBM выбрало кольцо как основу своего стандарта, а IEEE включило его как стандарт 802.5 - кольцо с маркером.
Важной проблемой при создании кольцевой сети
является «физическая длина» бита. Пусть данные передаются со скоростью R Mбит/сек. Это значит, что через
каждые 1/R мксек. на линии появляется бит. Учитывая,
что сигнал распространяется со скоростью 200 м/мксек.,
то один бит занимает 200/R метров кольца. Отсюда, при скорости 1 Мбит/сек. и
длине окружности
Как уже отмечалось, кольцо - это последовательность соединений точка - точка. Бит, поступая на интерфейс, копируется во внутренний буфер интерфейса и передается по кольцу дальше (см. рисунок 4-25). В буфере бит может быть проанализирован и, возможно, изменен. Эти операции вносят задержку на один бит в каждом интерфейсе.
Рисунок 4-25. Устройство кольца

Пока станциям нечего передавать, в кольце циркулирует маркер - особая последовательность бит. Если станции нужно передать данные, она должна захватить маркер и удалить его из кольца. Это достигается изменением одного бита в 3-х байтном маркере, в результате чего маркер тут же превращается в заголовок обычного кадра. Поскольку в кольце может быть только один маркер, то только одна станция может передавать данные. Так в сети «кольцо с маркером» решается вопрос доступа.
Как следствие конструкции кольца с маркером, сеть должна иметь достаточную протяженность, чтобы маркер мог уместиться в ней целиком, даже когда все станции находятся в ожидании. Задержки складываются из двух компонентов: 1 бит - задержка на интерфейсе станции и задержка на распространение сигнала. Учитывая, что станции могут выключаться, например, на ночь, следует, что на кольце должна быть искусственная задержка, если оно недостаточно длинное.
Интерфейс станций может работать в двух режимах: прослушивания и передачи. В режиме прослушивания он лишь копирует бит в свой буфер и передает этот бит дальше по кольцу. В режиме передачи, предварительно захватив маркер, интерфейс разрывает связь между входом и выходом и начинает передачу. Чтобы быть способным за однобитовую задержку переключиться из одного режима в другой, интерфейс должен предварительно забуферизовать данные для передачи.
По мере распространения передаваемых битов по кольцу они будут возвращаться к передающей станции. Она должна убирать их либо с линии, либо в буфер для последующего анализа с целью повышения надежности передачи, либо просто сбрасывая. Поскольку кадр целиком никогда не появляется на линии, то архитектура сети кольца с маркером не накладывает никаких ограничений на длину кадра. Как только станция закончила передачу и удалила последний переданный бит с линии, она должна сгенерировать маркер и переключиться в режим прослушивания.
В такой сети просто уведомлять о получении кадра. В каждом кадре есть бит уведомления. Станция-получатель устанавливает этот бит при получении кадра. Станция-отправитель при возвращении кадра анализирует этот бит и может определить, был ли этот кадр получен. Так же можно поступать и с проверкой контрольной суммы, главное, чтобы эта проверка могла быть выполнена за однобитовую задержку.
При малой загрузке станции в кольце сразу могут передавать свои сообщения. По мере роста загрузки у станций будут расти очереди на передачу и они в соответствии с кольцевым алгоритмом будут захватывать маркер и вести передачу. Постепенно загрузка кольца будет расти, пока не достигнет 100%.
Теперь обратимся непосредственно к стандарту IEEE 802.5. На физическом уровне он использует витую пару со скоростью 1 или 4 Mбит/сек., хотя IBM позднее ввела 16 Mбит/сек. Сигнал на линии кодируется с помощью дифференциального манчестерского кода, используя запрещенные комбинации low-low и high-high для управляющих байтов.
С кольцом связана одна серьезная проблема - если связь в кольце где-то нарушается, то вся конфигурация становится неработоспособной. Проблема решается с помощью так называемого кабельного центра. Это решение показано на рисунке 4-26. В случае, если какая-то станция выходит из строя, реле замыкается и станция исключается из кольца. Реле может управляться и программно, выводя временно станцию из кольца, например, для тестирования. Хотя стандарт 802.5 непосредственно не предписывает использование кабельного центра, на практике он часто используется с целью повышения надежности и удобства обслуживания сети.
Рисунок 4-26. 4 станции, соединенные через кабельный центр

Вместо станции к кабельному центру может присоединяться другой кабельный центр. Таким образом, кабельные центры могут объединяться в структуры, подобно тому как хабы соединяются в 802.3. Однако форматы и протоколы у них разные.
4.3.3.1. Кольцо с маркером: протокол МАС-подуровня
Основные операции МАС-протокола довольно просты. При отсутствии данных по кольцу циркулирует 3-байтный маркер. Как только какой-то станции надо передать данные, она инвертирует специальный бит в маркере с 0 на 1, превращая маркер в стартовую последовательность байтов для передачи кадров и добавляя данные для передачи, как это показано на рисунке 4-27.
Рисунок 4-27. Устройство маркера и кадра передачи данных

В нормальных условиях станция-отправитель должна постоянно забирать с линии биты, которые возвращаются к ней, обойдя кольцо. Даже очень длинное кольцо вряд ли будет способно вместить короткий кадр. Поэтому ранее посланные биты начнут возвращаться прежде, чем станция закончит передавать кадр.
Станция может держать маркер не более 10 мсек., если при инсталляции не было установлено иного значения. Если после отправки кадра остается достаточно времени, то посылаются следующие. После того как посланы все кадры или истекло время владения маркером, станция обязана сгенерировать маркер и вернуть его на линию.
Байты Starting delimiter и Ending delimiter отмечают начало и конец кадра соответственно. Они содержат запрещенные в дифференциальных манчестерских кодах последовательности. Байт Access control содержит маркерный бит, Monitor bit, Priority bits, Reservations bits (они будут описаны позднее).
Поля Destination address и Source address такие же, как и в стандартах 802.3 и 802.4. За ними следует поле данных, которое может быть сколь угодно длинное, лишь бы его передача уместилась во время владения маркером. Поле контрольной суммы такое же, как и в 802.3 и 802.4.
Байт, которого нет ни в 802.3 ни в 802.4 - Frame status. В нем есть биты А и С. Когда кадр поступает к станции-получателю, ее интерфейс инвертирует бит А. Если кадр успешно скопирован, то инвертируется и бит С. Кадр может быть не скопирован в силу разных причин: задержки, отсутствия места в буфере и т.п.
Когда станция-получатель снимает ранее посланные биты с линии, она анализирует биты А и С. По их комбинации она может определить, успешно ли прошла передача. Возможны три комбинации значений этих битов:
1. А=0, С=0 - получатель отсутствует
2. А=1, С=0 - получатель есть, но кадр не принят
3. А=1, С=1 - получатель есть и кадр принят
Биты А и С обеспечивают автоматическое уведомление о получении кадра. Если кадр почему-то не был принят, то у станции есть несколько попыток передать его. Биты А и С дублируются в байте Frame status с целью повысить надежность, так как этот байт не подпадает под контрольную сумму.
Ending delimiter содержит специальный бит, который устанавливает интерфейс любой станции, если он обнаруживает ошибку. Там также есть бит, которым можно помечать последний кадр в логической последовательности кадров.
В 802.5 есть тщательно проработанная схема работы с приоритетами. В среднем байте 3-байтного маркера есть поле, отведенное для приоритета. Если станции надо передать кадр с приоритетом n, то ей придется ждать, пока появится маркер с приоритетом, меньшим или равным n. Кроме того, когда кадр с данными проходит по кольцу, станция может указать значение приоритета, который ей нужен. Для этого она записывает нужное значение в поле Reservation bits. Однако если в нем уже записан более высокий приоритет, станция не может этого делать. После завершения передачи кадра генерируется маркер с приоритетом, зарезервированном в этом кадре.
Описанный механизм приоритетов имеет один недостаток: приоритет все время растет. Поэтому 802.5 предусматривает довольно сложные правила понижения приоритета. Суть этих правил сводится к тому, что станция, установившая наивысший приоритет, обязана его понизить после передачи кадра.
Заметим, что работа с приоритетами в кольце с маркером и шине с маркером организована по-разному. В шине с маркером каждая станция получает свою долю пропускной способности канала. В кольце с маркером станция с низким приоритетом может ждать сколь угодно долго маркера с надлежащим приоритетом. Это различие отражает различие подходов двух стандартов: что важнее - высокоприоритетный трафик или равномерное обслуживание всех станций.
4.3.3.2. Поддержка кольца
В стандарте 802.5 поддержка кольца организована иначе, чем это сделано в 802.4. Там был создан довольно длинный протокол для полностью децентрализованной поддержки. В 802.5 предусмотрено, что в кольце всегда есть станция-монитор, контролирующая кольцо. Если станция-монитор по какой-либо причине потеряет работоспособность, есть протокол выбора и объявления другой станции-монитора на кольце. Любая станция способна быть монитором.
При включении или если какая-то станция заметит отсутствие монитора, она посылает кадр CLAIM_TOKEN. Если она первая, кто послал такой кадр, то она и становится монитором. В таблице 4-28 показаны кадры для поддержки кольца.
Таблица 4-28. Кадры поддержки кольца
|
Контрольное поле |
Название |
Значение кадра |
|
00000000 |
Duplicate address test |
Проверка, имеют ли 2 станции одинаковый адрес |
|
00000010 |
Beacon |
Локализация разрыва кольца |
|
00000011 |
Claim token |
Попытка стать монитором |
|
00000100 |
Purge |
Реинициализация кольца |
|
00000101 |
Active monitor present |
Периодически рассылается монитором |
|
00000101 |
Standby monitor present |
Заявление о наличии потенциальных мониторов |
Среди задач, которые должен решать монитор, есть следующие: слежение за наличием маркера, выполнение определенных действий, если нарушено, устранение грязи или беспризорных кадров. Такие кадры могут появиться, если станция начала передачу и не закончила по какой-либо причине. Монитор обнаруживает отсутствие маркера с помощью специального таймера, отмечающего время отсутствия маркера на кольце. Если значение этого таймера превысит некоторое значение, то считается, что маркер потерян, и монитор обязан принять надлежащие меры.
При появлении грязи, т.е. кадра с неверным форматом или контрольной суммой, монитор снимает его с линии и генерирует маркер. Беспризорные кадры монитор обнаруживает с помощью Monitor bit в байте Access control. Когда кадр проходит через монитор первый раз, монитор устанавливает этот бит в единицу. Поэтому, если очередной кадр пришел с единицей в этом бите, то этот кадр не был принят и монитор должен его удалить из кольца.
Важной функцией монитора является установка задержки на кольце, достаточной, чтобы в кольце уместился 24-битный маркер.
Монитор не может определить, где произошел разрыв кольца. Поэтому, если какая-то станция заметит отсутствие соседа, она генерирует BEACON-кадр. По мере распространения этого кадра по кольцу определяется, какие станции живы, а какие нет, и последние удаляют из кольца с помощью кабельного центра.
Любопытно сравнить подходы к управлению кольцом в 802.4 и 802.5. Комитет, разработавший шину с маркером, видимо, до смерти боялся допустить хоть какую-нибудь централизацию в системе. Поэтому все станции в системе одинаковы и лишь одна получает особые права, но лишь на определенный промежуток времени.
В 802.5 разрешен монитор - это явно централизованный механизм. Разработчики считали, что станции достаточно надежные и редко выходят из строя. Поэтому, если монитор генерирует с заданной периодичностью кадр ACTIVE MONITOR PRESENT, никто не попытается его заменить. Нет механизма, позволяющего сменить существующий монитор.
Эти различия отражают различия приложений, которые имели в виду представители этих комитетов. Разработчики 802.4 имели дело с приложениями на заводах, где много металла, есть агрессивные среды и т.п. Поэтому возможны отказы станций, разрушения сети. Разработчики 802.5 ориентировались на офисные приложения, где защита от отдельных ошибок вряд ли оправдает серьезные затраты на нее.
4.3.4. Сравнение 802.3, 802.4 и 802.5
Итак, есть три разные несовместимые МАС-среды. Какую из них выбрать? Здесь мы сравним все три стандарта 802.
Начать следует с того, что все три стандарта используют примерно одинаковую технологию и имеют примерно одинаковую производительность. Инженеры могут бесконечно спорить о том, что лучше - коаксиал или витая пара, но рядовому пользователю, компьютерному обывателю это, как правило, не важно.
Достоинства 802.3
1. Очень широко используется, имеет огромную инсталляционную базу.
2. Широко известен, многие инженеры знают как с ним работать.
3. Протокол простой.
4. Станция может быть подключена без остановки сети.
5. Используется пассивный кабель, модемы и прочее оборудование не требуется.
6. При малой загрузке задержки практически равны 0.
Недостатки 802.3
1. Есть значительный аналоговый компонент.
2. Минимальная длина кадра 64 байта.
3. Не детерминирован, что плохо для приложений реального времени.
4. Нет приоритетов.
5. Ограничена длина кабеля.
6. С ростом скорости передачи время состязаний не сокращается, следовательно минимальная длина кадра растет.
Достоинства 802.4
1. Используется обычный телевизионный кабель, высоко надежный.
2. Более детерминирован чем 802.3.
3. Минимальная длина кадра короче.
4. Поддерживает приоритеты.
5. Есть гарантированная доля трафика.
6. Прекрасная эффективность и пропускная способность при высокой загрузке.
7. Коаксиальный кабель может поддерживать несколько каналов.
Недостатки 802.4
1. Используется много аналоговой аппаратуры.
2. Очень сложный протокол.
3. Большие задержки при низкой загрузке.
4. Используется относительно немногими пользователями.
5. Нельзя использовать оптоволокно.
Достоинства 802.5
1. Использует соединения точка-точка: полностью цифровое и простое в обращении.
2. Можно использовать любую физическую среду - от почтовых голубей до оптоволокна.
3. Стандартная витая пара дешева и проста в обращении.
4. Наличие кабельного центра делает кольцо с маркером единственным стандартом, где нарушения физической среды могут восстанавливаться автоматически.
5. Есть приоритеты, однако схема их установки не так справедлива, как в шине с маркером.
6. Небольшой размер минимального кадра и неограниченный размер передаваемого кадра.
7. Прекрасная пропускная способность при высокой загрузке, как и у 802.4.
Недостатки 802.5
1. Основной недостаток - наличие централизованного монитора, который является критическим компонентом.
2. Из-за схемы передачи маркера относительно большие задержки при небольшой загрузке.
Таким образом, все три платформы более или менее равны, и дело, скорее всего, будут решать отдельные нюансы, значения параметров, особенности конкретных приложений.
4.3.5. Стандарт IEEE 802.2: управление логическим каналом
В главе 3 мы рассматривали, как две машины могут надежно взаимодействовать даже через ненадежную линию с помощью канального протокола. Этот протокол обеспечивал контроль ошибок (через уведомления) и управление потоком (через механизм окна). До сих пор мы ни слова не сказали о надежности коммуникаций через 802.х. Как правило, сети типа 802 обеспечивают дейтаграммный сервис. Иногда этого достаточно. Например, при передаче IP-пакетов никаких гарантий не требуется и не предполагается. Поэтому IP-пакет просто вставляется в кадр и передается. Если он потерялся, то так тому и быть.
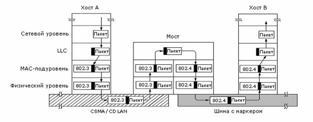
Тем не менее, есть системы, где нужен контроль ошибок, а управление потоком весьма желательно. IEEE создало такой протокол, который работает над всеми 802.х. Он называется LLC (Logical Link Control). Он скрывает различия между версиями 802, определяя единый интерфейс и формат для сетевого уровня. LLC-протокол образует верхний уровень канального протокола с МАС-протоколом под ним так, как это показано на рисунке 4-29.
Рисунок 4-29. Действие LCC-протокола: (а) его расположение; (b) форматы протокола

LLC предоставляет три вида сервиса: ненадежный: дейтаграммы без уведомления, дейтаграммы с уведомлением и надежный сервис, ориентированный на соединение.
4.4. Мосты
Довольно часто в организации возникает потребность соединить между собой несколько ЛВС. Этой цели служат специальные устройства, называемые мосты, которые функционируют на уровне канала данных. Это означает, что это устройство не анализирует заголовки пакетов сетевого уровня и выше и, таким образом, может просто копировать пакеты IP, IPX, OSI, в то время как маршрутизаторы могут работать только с определенными пакетами.
Далее мы рассмотрим устройство мостов, а частности, для соединения сетей в стандарте 802.3, 802.4, 802.5. Но прежде рассмотрим типичные ситуации, где применяются мосты. Их как минимум шесть:
1. Многие подразделения в организации имеют свои собственные локальные сети. Например, сети факультетов в университетах, отделы в институтах и т.п. В силу различий стоящих перед ним задач, они используют разные приложения и, что естественно, сети, отличные от сетей других подразделений. Рано или поздно наступает момент, когда необходимо интегрировать информационные потоки всей организации и, соответственно, объединять сети между собой.
2. Организация может занимать несколько зданий и, возможно, будет целесообразно в каждом здании иметь свою сеть, объединив их через мосты.
3. Иногда, при высоких рабочих нагрузках, приходится разбивать сеть на несколько, с целью локализации трафика в каждой подсети. Например, ясно, что класс рабочих станций для студентов лучше оформлять как самостоятельную сеть, локализовав трафик в этой сети: к чему распространять по всему факультету трафик с фотографиями и музыкой? Это решение показано на рисунке 4-30.
Рисунок 4-30. Локальные сети, соединенные магистралью для распределения нагрузки

4. В некоторых случаях причиной для использования моста может служить большое расстояние между объединяемыми сетями. Дело в том, что, используя мост, можно увеличить длину сегмента.
5. Мост может увеличить надежность сети. В локальной сети один узел может нарушить работоспособность сети в целом. Мосты, размещенные в критических точках сети, подобно запасным пожарным выходам, могут заблокировать такой узел и предотвратить нарушение работы системы в целом.
6. Мост может повысить безопасность сети. Большинство интерфейсов в ЛВС имеют специальный режим, при котором компьютер получает все пакеты, проходящие в сети, а не только адресованные ему. Всякого рода злоумышленники и просто любопытствующая публика просто обожают эту возможность. С помощью правильно расставленных мостов можно добиться, чтобы определенный трафик проходил лишь по определенным маршрутам, где он бы не мог попасть в чужие руки.
Теперь, когда мы знаем, для чего нужны мосты, рассмотрим, как они работают. Рисунок 4-31 показывает работу простого двухпортового моста.
Рисунок 4-31. Двухпортовый мост между 802.3 и 802.4

4.4.1. Мосты из 802 в 802
На первый взгляд может показаться, что построить мост из 802 в 802 не сложно. Но это не так. У каждой из девяти возможных сочетаний есть свои трудности. Но прежде чем начать рассматривать индивидуальные проблемы каждого конкретного сочетания, рассмотрим общие проблемы для всех. Первая - каждый стандарт имеет свой собственный формат кадра. Они показаны на рисунке 4-32. Для этих различий не было никаких технических оснований. Просто корпорации, поддерживавшие их разработки, - Xerox, GM, IBM - не захотели пойти на встречу друг другу и что-то изменить у себя. В результате при переходе из сети в сеть требуется реформатирование кадра, на что тратится время процессора, перевычисляется контрольная сумма, и т.д. Ничего этого не потребовалось бы, если бы три комитета смогли договориться о едином формате.
Рисунок 4-32. Форматы кадров IEEE 802

Следующая проблема - разные сети могут работать с разной скоростью. Если передача идет из скоростной сети в медленную сеть, то мост должен обладать достаточным буфером. Эта проблема может усугубляться непостоянством скорости передачи из-за коллизий, как, например, в 802.3. К тому же несколько сетей могут посылать трафик одной и той же сети, что опять приведет к перекосу скоростей.
Другой тонкой, но важной проблемой является проблема моста как источника временной задержки, которая может влиять на тайм-аут на верхних уровнях. Предположим, что сетевой уровень над 802.4 пытается послать длинное сообщение в виде последовательности кадров. После отправки последнего кадра таймер устанавливается на ожидание уведомления о получении. Если сообщение проходит через мост с медленной сетью 802.5, то есть опасность, что тайм-аут наступит прежде, чем последний кадр будет передан в медленную сеть. Сетевой уровень решит, что все сообщение утеряно, и начнет все сначала. После нескольких попыток сетевой уровень сообщит транспортному уровню, что получатель отсутствует.
Третьей, и наиболее серьезной проблемой является то, что все три стандарта имеют разную максимальную длину кадра. Для 802.3 на 10 Мбит/сек. это 1500 байт, для 802.4 - 8191 байт, для 802.5 максимальная длина ограничена временем удержания маркера. Последняя величина по умолчанию имеет значение 10 мсек., что соответствует 5000 байтам.
Очевидная проблема возникает, когда длинный кадр надо доставить в сеть с короткими кадрами. Разбиение кадра на части не является задачей данного уровня. Это не значит, что таких протоколов не было создано, просто стандарты 802 не предусматривают надлежащих средств. Слишком длинные кадры просто сбрасываются.
Теперь рассмотрим все девять пар.
Рисунок 4-33. Проблемы, возникающие при построении мостов из 802.x в 802.y

802.3 - 802.3
Здесь есть только одна опасность, что сеть, в которую передают, сильно перегружена и мост не успевает вставлять свои кадры. Есть опасность переполнения буфера у моста, в случае чего мост начнет сбрасывать кадры. Такая проблема потенциально есть всегда и мы о ней здесь более упоминать не будем. По отношению к двум другим стандартам все проще, так как мост обязательно получит маркер и свой временной слот на передачу кадров.
802.4 - 802.3
Здесь две проблемы. Первая - кадры из 802.4 содержат биты приоритета, а в кадрах 802.3 таких нет. В результате, если две 802.4 взаимодействуют через 802.3, то информация о приоритетах будет уничтожена.
Вторая проблема вызвана исключительно тем, что в кадре 802.4 есть бит временной передачи маркера получателю для уведомления. Что делать мосту, если ему поступит такой кадр? Послать подтверждение самому нельзя - получатель может быть неработоспособен. С другой стороны, если не дать подтверждения, то отправитель решит, что получатель неработоспособен, что может быть не так, и предпринять соответствующие меры. Похоже, что у этой проблемы нет решения.
802.5 - 802.3
Здесь мы имеем проблемы, аналогичные тем, что мы обсуждали выше. Например, есть биты А и С, которые используются для анализа информации о доставке и получении кадра. Как поступать мосту с такими кадрами? Если мост сам начнет имитировать за получателя значения этих разрядов, то очевидно, здесь могут возникать трудноисправимые ошибки. Ситуация выглядит так, что появление моста может менять семантику отдельных разрядов кадра, и как решить эту проблему - представить трудно.
802.3 - 802.4
Здесь основную трудность представляют биты приоритета. Что в них писать? Возможно, здесь стоит все кадры пускать с наивысшим приоритетом, так как они уже настрадались от задержек при передаче.
802.4 - 802.4
Единственная проблема, которая здесь существует, - это как поступать с временной передачей маркера? Мост может посылать такой кадр как можно быстрее, в надежде что ответ придет раньше, чем истечет тайм-аут. Можно посылать его с наивысшим приоритетом. При этом мост, так сказать, покривит душой, но это увеличит вероятность получения ответа до истечения тайм-аута.
802.5 - 802.4
Здесь проблему представляют биты А и С. Кроме этого, семантика приоритетов в этих сетях немного разная. Но выбора нет. Остается просто копировать биты приоритетов в надежде на хороший исход.
802.3 - 802.5
В этом случае надо генерировать биты приоритета. Других проблем здесь нет.
802.4 - 802.5
Здесь может возникнуть проблема слишком длинного кадра. Опять-таки здесь присутствует передача маркера.
802.5 - 802.5
Здесь надо только решить, что делать с битами А и С.
На рисунке 4-33 перечислены все эти проблемы.
Здесь мы рассмотрели соединение двух сетей IEEE 802 с помощью моста. Далее мы рассмотрим, как соединять несколько ЛВС-сетей между собой с помощью системы мостов и два основных подхода IEEE в конструкции таких мостов.
4.4.2. Прозрачные мосты
Первым мостом 802 является прозрачный мост, или мост с деревом соединений. Основной заботой разработчиков этого моста было обеспечение его полной прозрачности. Они хотели создать устройство по стандарту IEEE, которое пользователь мог бы купить в магазине, подключить кабели своих многочисленных сетей и работать. Подключение в сеть этого устройства не должно было бы требовать каких-либо изменений в оборудовании, программном обеспечении, переинсталляции сетей, загрузки каких-либо таблиц и т.п. Просто купил, принес, включил, и все работает. Как это ни удивительно, но они почти достигли своей цели.
Прозрачный мост функционирует в режиме общедоступности, т.е. ему доступны все пакеты от всех сетей, подключенных к нему. Рассмотрим пример на рисунке 4-34. Кадр для А, поступивший из сети LAN 1, должен быть сброшен, т.к. он уже в нужной сети, а вот кадр из LAN 1 для С или F надо передать в нужную сеть.
Рисунок 4-34. Конфигурация из четырех сетей и двух мостов

По каждому поступающему кадру мост должен принять следующее решение: надо ли его передавать дальше или сбросить; если передавать дальше, то в какую сеть? Для этого каждый мост должен иметь таблицу, где каждой станции сопоставлен номер сети, в которой она находится. Эта таблица, как правило, имеет огромные размеры и организована как таблица перемешивания или хэш-таблица.
Когда мосты включаются первый раз, все таблицы пусты. Для заполнения своей таблицы каждый мост использует следующий алгоритм:
· Каждый кадр с неизвестным мосту адресом доставки рассылается во все сети, подключенные к данному мосту, кроме той, из которой поступил этот кадр.
· По реакции из каждой сети на этот кадр мост определяет, в какой конкретно сети находится адрес доставки и фиксирует эту информацию в таблице (как это происходит, мы рассмотрим позже).
Далее кадры с таким же адресом доставки будут посылаться только в сеть, определенную этим алгоритмом, который называется обучение с запаздыванием.
Топология сети может изменяться динамически. Машины и мосты могут включаться в сеть и выключаться из нее. Поэтому для каждого элемента таблицы указывается время, когда от этой машины или моста поступал кадр.
Периодически таблица просматривается, и для всех ее элементов, у которых время последнего поступления кадра отличается от текущего более чем на несколько минут, запускается процедура поиска его в сети. Поэтому все изменения в сети отслеживаются динамически. Если какую-то машину выключат из одной сети, перенесут и включат в другой, описанный алгоритм отметит это изменение через несколько минут. Итак, каждый раз, когда поступает кадр, мост выполняет следующие действия:
1. Если адрес отправителя и адрес получателя один и тот же, кадр сбрасывается.
2. Если адрес отправителя и адрес получателя разные, то кадр направляется в надлежащую сеть.
3. Если нет информации в таблице, куда направлять кадр, его посылают во все доступные сети.
В некоторых случаях для большей надежности две сети соединяют двумя мостами, как это показано на рисунке 4-35. Однако у такой конфигурации есть одна опасность. Пусть в сети 1 был выпущен кадр F. Этот кадр будет дублирован во все сети и мостом В1, и мостом В2. Пусть мост В1 породил F1, а В2 - F2. Мост В1 увидит F2 с неизвестным адресом доставки и дублирует его в сеть 1 как F3. То же самое сделает В2 с кадром F1 в виде кадра F4. Этот цикл будет длиться до бесконечности.
Рисунок 4-35. Два параллельных прозрачных моста

Решение этой проблемы состоит в том, чтобы мосты во взаимодействии друг с другом накладывали на фактическую структуру соединений дерево соединений и делали пересылку так, чтобы избегать таких мнимых циклов. На рисунке 4-36 показана сеть с 10 мостами. Граф соединений на рисунке 4-36 (а) можно сократить до дерева соединений на рисунке 4-36 (b). В этом дереве для каждой сети есть только один путь.
Рисунок 4-36. Использование дерева соединений в конструкциях с мостами

Как строится дерево соединений? Прежде всего, надо выбрать один мост из всех в качестве корня дерева. Это делается с помощью уникальных адресов, которые присваиваются мостам при изготовлении, подобно Ethernet-адресам. Из всех мостов корневым выбирается мост с наименьшим номером. Затем для полученного корня строится дерево кратчайших путей, соединяющих корень с каждым мостом и сетью. Полученное дерево и есть дерево соединений.
В результате алгоритм строит единственный маршрут от корня в любую сеть. Хотя дерево соединений охватывает все сети, в нем представлены не все мосты.
4.4.3. Мосты с маршрутизацией от источника
Прозрачные мосты хороши тем, что их достаточно только подключить, и все работает. Однако они никак не учитывают оптимальное распределение пропускной способности и не могут этого делать. Это привело к появлению иной схемы работы мостов - маршрутизации от источника.
Будем предполагать, что отправитель знает, находится получатель в его локальной сети или нет. Если получатель не в его локальной сети, то отправитель устанавливает старший разряд в адресе получателя в 1. Кроме этого, в заголовке кадра указывается точный маршрут, по которому будут следовать кадр. Этот маршрут представляет собой чередование 12-разрядного адреса сети и 4-разрядного адреса моста. (См. рисунок 4-34.)
Мост с маршрутизацией от источника ловит только те кадры, у которых старший разряд в адресе получателя равен 1. Для каждого такого кадра просматривается описание маршрута и определяется, в какую сеть отправлять этот кадр. Номер сети указан после номера моста в описании маршрута.
Этот алгоритм предполагает, что каждый отправитель знает или может определить наилучший маршрут. Основная идея алгоритма поиска такого маршрута состоит в следующем. Если маршрут к получателю не известен, то отправитель посылает так называемый поисковый кадр. Этот поисковый кадр рассылается всеми мостами по всем сетям. Когда поисковый кадр возвращается обратно, каждый мост оставляет в нем информацию о себе. Таким образом, отправитель, получив ответы на свой поисковый кадр, может выбрать наилучший маршрут среди всех имеющихся.
Этот алгоритм действительно позволяет найти наилучший маршрут, но он имеет один серьезный недостаток - экспоненциальный рост числа поисковых кадров. Это видно на рисунке 4-37. К тому моменту, как поисковый кадр достигнет уровня N, число поисковых кадров в сети будет порядка 3N-1. Нечто подобное происходит и в сетях с прозрачными мостами, но там этот рост происходит только вдоль дерева связей.
Рисунок 4-37. Сети, соединенные тройными мостами

Обнаружив наилучший путь, каждый хост в сети хранит его. Естественно, это накладывает определенные требования на хосты в сети, что делает использование этого подхода не столь прозрачным, как в первом случае.
4.4.4. Сравнение мостов для 802
Оба вида мостов, как прозрачные, так и с маршрутизацией от источника, имеют как достоинства, так и недостатки. В ртаблице 4-38 они представлены в виде таблицы.
Таблица 4-38. Сравнение мостов для 802
|
Признак |
Прозрачный |
С маршрутизацией от источника |
|
Ориентация |
Без соединения |
С соединением |
|
Прозрачность |
Полностью прозрачный |
Непрозрачный |
|
Настройка |
Автоматическая |
Вручную |
|
Выбор маршрута |
Частично оптимальный |
Оптимальный |
|
Способ локализации моста |
«Обучение с запаздыванием» |
«Поисковый кадр» |
|
Сбои |
Устраняются мостами |
Устраняются хостами |
|
Наибольшая сложность |
В мостах |
В хостах |
Одно из основных различий между этими мостами - это различие между сетями, ориентированными на соединение, и не ориентированными на соединение. Прозрачные мосты не поддерживают концепции виртуального соединения и маршрутизируют каждый кадр независимо друг от друга. Мосты с маршрутизацией от источника, наоборот, определяют маршрут с помощью поискового кадра, а затем используют этот маршрут постоянно.
Прозрачные мосты полностью совместимы со всеми продуктами в стандартах 802. Это не так по отношению к мостам с маршрутизацией от источника. Все хосты в системе должны знать схему подключения мостов в сети. Любое изменение в сети, затрагивающее мосты, вызывает необходимость в перенастройке хостов.
При использовании прозрачных мостов никаких специальных усилий по управлению сетью не требуется. Мосты автоматически поддерживают конфигурацию сети. При использовании мостов с маршрутизацией от источника требуется значительная ручная работа. Любая ошибка в адресах сетей или мостов может вызвать тяжелые последствия, обнаружить ее бывает очень трудно. При соединении двух функционирующих сетей через прозрачный мост ничего делать не надо, кроме как подключить его. При их соединении через мост, маршрутизирующий от источника, может потребоваться изменение номеров сетей и мост, дабы избежать дублирования.
Одно из основных преимуществ мостов с маршрутизацией от источника - они хотя бы теоретически могут строить оптимальные маршруты, в то время как прозрачные мосты ограничены в выборе маршрута деревом соединений. Мосты с маршрутизацией от источника также могут работать с мостами, включенными в параллель.
Механизмы определения места доставки кадра также имеют свои достоинства и недостатки. В случае с прозрачными мостами недостаток тот, что надо ждать, когда придет кадр от машины получателя. В другом случае - имеем экспоненциальный рост числа поисковых кадров.
Реакция на ошибки в сетях в обоих случаях разная. В первом случае все происходит автоматически, мосты сами слушают, что происходит в сетях. и реагируют должным образом. Самим хостам делать ничего не приходится. В случае мостов с маршрутизацией от источника ситуация противоположная: вся сложность исправления ошибок и отказов в сети ложится на хосты.
4.4.5. Удаленные мосты
Как мы уже говорили, основная цель использования мостов – соединение отдельных ЛВС между собой. Это можно сделать, сопоставив каждой ЛВС мост и соединив мосты между собой каналом «точка-точка». Пример такого соединения показан на рисунке 4-39. Здесь каждый канал точка-точка можно рассматривать как ЛВС без абонентских машин (кто сказал, что сеть обязана всегда их иметь). Тогда у нас есть шесть ЛВС, соединенных через четыре моста.
Рисунок 4-39. Удаленные мосты, соединяющие ЛВС

Для соединений точка-точка можно использовать разные протоколы. Например, можно использовать любой протокол точка-точка и в его кадрах целиком размещать кадры МАС-подуровня. Этот прием хорошо работает в случае идентичных сетей. При этом возникает только одна трудность – маршрутизация кадров в нужную сеть.
Другая возможность – отрезать заголовки МАС-подуровня и на их место вставить заголовки соответствующего канального уровня. Новый МАС-заголовок будет сгенерирован на стороне моста-получателя. Здесь трудности возникают при работе с полем контрольной суммы. Либо надо ее каждый раз перевычислять, либо мы потеряем возможность контролировать ошибки при передаче.
4.5. Высокоскоростные локальные сети
Рассмотренные нами до сих пор стандарты для построения сетей прежде всего были рассчитаны на ЛВС, т.е. на сети, охватывающие относительно небольшие расстояния, использующие медные носители для передачи сигналов на скоростях, не превышающих 10 Мбит/сек. Эти стандарты ориентировались на возможности вычислительной техники и требования приложений, характерные для 70-х годов. Однако по мере роста производительности процессоров, объемов памяти рабочих станций, скорости каналов передачи данных в рабочих станциях как между процессором и основной памятью, так и между основной памятью и дисковой памятью, эти стандарты не могли обеспечить сбалансированную загрузку абонентских машин в сети.
В этом разделе мы рассмотрим стандарты для построения высокоскоростных сетей, появившиеся в 90-е годы. Эти стандарты предполагают использование оптоволоконных линий связи, скорость не ниже 100 Мбит/сек. и действуют на большие расстояния, чем рассмотренные до сих пор стандарты IEEE 802.
4.5.1. Основы технологии FDDI
Технология FDDI является
высокопроизводительным развитием технологии Token Ring, позволяющей работать на скоростях не ниже 100
Мбит/сек., расстоянии до
· Повысить скорость передачи данных до 100 Мбит/сек.
· Повысить отказоустойчивость сети за счет стандартных процедур восстановления после отказов различного рода - повреждения кабеля, некорректной работы узла, концентратора, возникновения высокого уровня помех на линии и т.п.
· Максимально эффективно использовать потенциальную пропускную способность сети как для асинхронного, так и для синхронного трафиков.
Сеть FDDI строится на основе двух оптоволоконных колец. По одному трафик направлен по часовой стрелке, по другому – против. В случае выхода из строя одного из колец его трафик может быть запущен через второе кольцо. Если оба кольца окажутся поврежденными в одном и том же месте, то они могут быть объединены в одно кольцо, как показано на рисунке 4-41. Такая реконфигурация сети происходит силами концентраторов и/или сетевых адаптеров FDDI.
Использование двух колец - это основной способ повышения отказоустойчивости в сети FDDI, и узлы, которые хотят им воспользоваться, должны быть подключены к обоим кольцам. В нормальном режиме работы сети данные проходят через все узлы и все участки кабеля первичного (Primary) кольца, поэтому этот режим назван режимом Thru - «сквозным» или «транзитным». Вторичное кольцо (Secondary) в этом режиме не используется. При образовании общего кольца из двух колец передатчики станций по-прежнему остаются подключенными к приемникам соседних станций, что позволяет правильно передавать и принимать информацию соседними станциями.
В стандартах FDDI отводится много внимания различным процедурам, которые позволяют определить наличие отказа в сети, а затем произвести необходимую реконфигурацию. Сеть FDDI может полностью восстанавливать свою работоспособность в случае единичных отказов ее элементов. При множественных отказах сеть распадается на несколько не связанных сетей.
Рисунок 4-40. Кольцо FDDI в качестве магистрали для ЛВС и абонентских машин

Рисунок 4-41. Объединение двух колец в одно

Кольца в сетях FDDI рассматриваются как общая, разделяемая среда передачи данных, поэтому для нее определен специальный метод доступа. Этот метод очень близок к методу доступа сетей Token Ring и также называется методом кольца с маркером. Станция может начать передачу своих собственных кадров данных только в том случае, если она получила от предыдущей станции специальный кадр - маркер доступа. После этого она может передавать свои кадры в течение времени, называемого временем удержания маркера, - Token Holding Time (THT). После истечения времени THT станция обязана завершить передачу своего очередного кадра и передать маркер доступа следующей станции. Если же в момент получения маркера у станции нет кадров для передачи по сети, то она немедленно передает маркер следующей станции. Как и в ранее рассмотренных способах доступа с маркером, в сети FDDI у каждой станции есть предшествующий сосед (upstream neighbor) и последующий сосед (downstream neighbor), определяемые ее физическими связями и направлением передачи информации.
Каждая станция в сети постоянно принимает передаваемые ей предшествующим соседом кадры и анализирует их адрес назначения. Если адрес назначения не совпадает с ее собственным, то она транслирует кадр своему последующему соседу. Напомним, что, если станция получила маркер и передает свои собственные кадры, то на протяжении этого периода времени она не транслирует приходящие кадры, а удаляет их из сети. Если же адрес кадра совпадает с адресом станции, то она копирует этот кадр в свой внутренний буфер, проверяет его корректность (с помощью контрольной суммы), передает его поле данных для последующей обработки протоколу, лежащего выше FDDI-уровня (например, IP), а затем передает исходный кадр по сети последующей станции.
Как и в рассмотренном ранее протоколе кольца с маркером, в передаваемом в сеть кадре станция назначения отмечает три признака: распознавания адреса, копирования кадра и отсутствия или наличия в нем ошибок. Станция, являющаяся источником кадра для сети, проверяет признаки кадра, дошел ли он до станции назначения, и не был ли при этом поврежден. Процесс восстановления информационных кадров не входит в обязанности протокола FDDI, этим должны заниматься протоколы более высоких уровней.
4.5.1.1. Структура протоколов технологии FDDI
На рисунке 4-42 приведена структура протоколов технологии FDDI в сравнении с семиуровневой моделью OSI. FDDI определяет протокол физического уровня и протокол подуровня доступа к среде (MAC) канального уровня. Как и многие другие технологии локальных сетей, технология FDDI использует протокол 802.2 подуровня управления каналом данных (LLC), определенный в стандартах IEEE 802.2 и ISO 8802.2. В FDDI используется первый тип процедур LLC, при котором узлы работают в дейтаграммном режиме - без установления соединений и без восстановления потерянных или поврежденных кадров.
Рисунок 4-42. Структура протоколов технологии FDDI

Физический уровень разделен на два подуровня: независимый от среды подуровень PHY (Physical) и зависящий от среды подуровень PMD (Physical Media Dependent). Работу всех уровней контролирует протокол управления станцией SMT (Station Management). Здесь видна аналогия с организацией физического уровня в СПД АТМ.
Уровень PMD обеспечивает необходимые средства для передачи данных от одной станции к другой по оптоволокну. В его спецификации определяются:
Уровень PHY выполняет кодирование и декодирование данных, циркулирующих между MAC-уровнем и уровнем PMD, а также обеспечивает тактирование информационных сигналов. В его спецификации определяются:
Уровень MAC ответственен за управление доступом к сети, а также за прием и обработку кадров данных. В нем определены следующие параметры:
Уровень SMT выполняет все функции по управлению и мониторингу всех остальных уровней стека протоколов FDDI. В управлении кольцом принимает участие каждый узел сети FDDI. Поэтому все узлы обмениваются специальными кадрами SMT для управления сетью. В спецификации SMT определено следующее:
· Алгоритмы обнаружения ошибок и восстановления после сбоев
· Правила мониторинга работы кольца и станций
· Управление кольцом
· Процедуры инициализации кольца
Отказоустойчивость сетей FDDI обеспечивается за счет того, что уровень SMT управляет другими уровнями: с помощью уровня PHY устраняются отказы сети по физическим причинам, например, из-за обрыва кабеля, а с помощью уровня MAC - логические отказы сети, например, потеря нужного внутреннего пути передачи маркера и кадров данных между портами концентратора.
4.5.1.2. Сравнение технологии FDDI с технологиями Ethernet и Token Ring
В следующей таблице представлены результаты сравнения технологии FDDI с технологиями Ethernet и Token Ring.
Таблица 4-43. Сравнение FDDI с Ethernet и Token Ring
|
Характеристика |
FDDI |
Ethernet |
Token Ring |
|
Битовая скорость |
100 Мбит/сек. |
10 Мбит/сек. |
16 Мбит/cек |
|
Топология |
Двойное кольцо деревьев |
Шина/звезда |
Звезда/кольцо |
|
Метод доступа |
Приоритетная система с маркером |
CSMA/CD |
Приоритетная система резервирования с маркером |
|
Среда передачи данных |
Многомодовое оптоволокно, неэкранированная витая пара |
Толстый коаксиал, тонкий коаксиал, витая пара, оптоволокно |
Экранированная и неэкранированная витая пара, оптоволокно |
|
Максимальная длина сети (без мостов) |
|
|
|
|
Максимальное расстояние между узлами |
|
|
|
|
Максимальное количество узлов |
500 (1000 соединений) |
1024 |
260 для экранированной витой пары, 72 для неэкранированной витой пары |
|
Тактирование и восстановление после отказов |
Распределенная реализация тактирования и восстановления после отказов |
Не определены |
Активный монитор |
4.5.1.3. Типы узлов и правила их соединения в сеть
Все станции в сети FDDI делятся на несколько типов по следующим признакам:
· конечные станции или концентраторы
· по способу присоединения к первичному и вторичному кольцам
· по количеству MAC-узлов и, соответственно, MAC-адресов у одной станции
Как и в стандарте IEEE 802.5, для того чтобы иметь возможность передавать собственные данные в кольцо (а не просто ретранслировать данные соседних станций), станция должна иметь в своем составе хотя бы один MAC-узел, который имеет свой уникальный MAC-адрес. Станции могут не иметь ни одного MAC-узла, и, значит, участвовать только в ретрансляции чужих кадров. Но обычно все станции сети FDDI, даже концентраторы, имеют хотя бы один MAC. Концентраторы используют MAC-узел для захвата и генерации служебных кадров, например, кадров инициализации кольца, кадров поиска неисправности в кольце и т.п
4.5.1.4. Функции МАС-уровня
В соответствии со стандартами IEEE 802, канальный уровень в локальных сетях состоит из двух подуровней - LLC и МАС. Стандарт FDDI не вводит собственное определение подуровня LLC, а использует его сервисы, описанные в документе IEEE 802.2 LLC.
Подуровень МАС выполняет в технологии FDDI следующие функции:
· Поддерживает сервисы для подуровня LLC.
· Формирует кадр определенного формата.
· Управляет процедурой передачи маркера.
· Управляет доступом станции к среде.
· Адресует станции в сети.
· Копирует кадры, предназначенные для данной станции в буфер и уведомляет подуровень LLC и блок управления станцией SMT о прибытии кадра.
· Генерирует контрольную сумму кадра с помощью CRC-кода и проверяет ее у всех кадров, циркулирующих по кольцу.
· Удаляет из кольца все кадры, которые сгенерировала данная станция.
· Управляет таймерами, которые контролируют логическую работу кольца - таймером удержания маркера, таймером оборота маркера и т.д.
· Ведет ряд счетчиков событий, что помогает обнаружить и локализовать неисправности.
· Определяет механизмы, используемые кольцом для реакции на ошибочные ситуации - повреждение кадра, потерю кадра, потерю маркера и т.д.
В каждом блоке МАС параллельно работают два процесса: процесс передачи символов - MAC Transmit - и процесс приема символов - MAC Receive. За счет этого МАС может одновременно передавать символы одного кадра и принимать символы другого кадра.
4.5.1.5. Форматы кадра и маркера
По сети FDDI информация передается в форме двух блоков данных: кадра и маркера. Формат кадра FDDI представлен на рисунке 4-44.
Рисунок 4-44. Формат кадра FDDI

Рассмотрим назначение полей кадра:
· Преамбула (PA). Любой кадр должен предваряться преамбулой, состоящей как минимум из 16 символов Idle (I). Эта последовательность предназначена для синхронизации приемника и передатчика кадра.
· Начальный ограничитель (Starting Delimiter, SD). Состоит из пары символов JK, которые позволяют однозначно определить границы для остальных символов кадра.
· Поле управления (Frame Control, FC). Идентифицирует тип кадра и детали работы с ним. Имеет 8-битовый формат и передается с помощью двух символов. Состоит из подполей, обозначаемых как CLFFZZZZ, которые имеют следующее назначение:
§ С говорит о том, какой тип трафика переносит кадр - синхронный (значение 1) или асинхронный (значение 0).
§ L определяет длину адреса кадра, который может состоять из 2-х байт или из 6-ти байт.
§ FF - тип кадра, может иметь значение 01 для обозначения кадра LLC (пользовательские данные) или 00 для обозначения служебного кадра MAC-уровня. Служебными кадрами МАС-уровня являются кадры трех типов - кадры процедуры инициализации кольца Claim Frame, кадры процедуры сигнализации о логической неисправности Beacon Frame и кадры процедуры управления кольцом SMT Frame.
§ ZZZZ детализирует тип кадра.
· Адрес назначения (Destination Address, DA). Идентифицирует станцию (уникальный адрес) или группу станций (групповой адрес), которым предназначен кадр. Может состоять из двух или шести байт.
· Адрес источника (Source Address, SA). Идентифицирует станцию, сгенерировавшую данный кадр. Поле должно быть той же длины, что и поле адреса назначения.
· Информация (INFO). Содержит информацию, относящуюся к операции, указанной в поле управления. Поле может иметь длину от 0 до 4478 байт (от 0 до 8956 символов). Стандарт FDDI допускает размещение в этом поле маршрутной информации алгоритма Source Routing, определенной в стандарте 802.5. При этом в два старших бита поля адреса источника SA помещается комбинация 102 - групповой адрес, комбинация, не имеющая отношения к адресу источника, а обозначающая присутствие маршрутной информации в поле данных.
· Контрольная последовательность (Frame Check Sequence, FCS). Содержит 32-битную последовательность, вычисленную по стандартному методу CRC-32, принятому и для других протоколов IEEE 802. Контрольная последовательность охватывает поля FC, DA, SA, INFO и FCS.
· Конечный ограничитель (Ending Delimiter, ED). Содержит единственный символ Terminate (T), обозначающий границу кадра. За ним располагаются признаки статуса кадра.
· Статус кадра (Frame Status, FS). Первые три признака в поле статуса являются индикаторами ошибки (Error, E), распознавания адреса (Address recognized, A) и копирования кадра (Frame Copied, C). Каждый из этих индикаторов кодируется одним символом, причем нулевое состояние индикатора обозначается символом Reset (R), а единичное - Set (S). Стандарт позволяет производителям оборудования добавлять свои индикаторы после трех обязательных.
4.5.1.6. Операции МАС-уровня
С помощью операций МАС-уровня станции получают доступ к кольцу и передают свои кадры данных. Цикл передачи кадра от одной станции к другой состоит из нескольких этапов: захвата маркера станцией, которой необходимо передать кадр, передачей одного или нескольких кадров данных, освобождением маркера передающей станцией, ретрансляцией кадра промежуточными станциями, распознаванием и копированием кадра станцией-получателем и удалением кадра из сети станцией-отправителем. Рассмотрим эти операции.
Захват маркера. Если станция имеет право захватить маркер, то после ретрансляции на выходной порт символов PA и SD маркера она удаляет из кольца символ FC, по которому она распознала маркер, а также конечный ограничитель ED. Затем она передает вслед за уже переданным символом SD символы своего кадра. Таким образом, как и прежде, она формирует новый кадр из маркера, который она захватила.
Передача кадра. После удаления полей FC и ED маркера станция начинает передавать символы кадров, которые ей предоставил для передачи уровень LLC. Станция может передавать кадры до тех пор, пока не истечет время удержания маркера.
Для сетей FDDI предусмотрена передача кадров двух типов трафика - синхронного и асинхронного. Синхронный трафик предназначен для приложений, которые требуют предоставления им гарантированной пропускной способности для передачи голоса, видеоизображений, управления процессами и других случаев работы в реальном времени. Для такого трафика каждой станции предоставляется фиксированная часть пропускной способности кольца FDDI, поэтому станция имеет право передавать кадры синхронного трафика всегда, когда она получает маркер от предыдущей станции. Асинхронный трафик - это обычный трафик локальных сетей, не предъявляющий высоких требований к задержкам обслуживания. Станция может передавать асинхронные кадры только в том случае, если осталось неизрасходованным время удержания маркера. Каждая станция самостоятельно вычисляет текущее значение этого параметра по специальному алгоритму.
Станция прекращает передачу кадров в двух случаях: либо по истечении времени удержания маркера THT, либо при передаче всех имеющихся у нее кадров до истечения этого срока. После передачи последнего своего кадра станция формирует маркер и передает его следующей станции.
Обработка кадра станцией назначения. Станция назначения, распознав свой адрес в поле DA, начинает копировать символы кадра во внутренний буфер одновременно с повторением их на выходном порту. При этом станция назначения устанавливает признак распознавания адреса. Если же кадр скопирован во внутренний буфер, то устанавливается и признак копирования (невыполнение копирования может произойти, например, из-за переполнения внутреннего буфера). Устанавливается также и признак ошибки, если ее обнаружила проверка по контрольной последовательности.
Удаление кадра из кольца. Каждый МАС-узел ответственен за удаление из кольца кадров, которые он ранее в него поместил. Если МАС-узел при получении своего кадра занят передачей следующих кадров, то он удаляет все символы вернувшегося по кольцу кадра. Если же он уже освободил маркер, то он повторяет на выходе несколько полей этого кадра, прежде чем распознает свой адрес в поле SA. В этом случае в кольце возникает усеченный кадр, у которого после поля SA следуют символы Idle и отсутствует конечный ограничитель. Этот усеченный кадр будет удален из кольца какой-нибудь станцией, принявшей его в состоянии собственной передачи.
4.5.1.7. Инициализация кольца
Процедура инициализации кольца, известная под названием Claim Token, выполняется для того, чтобы все станции кольца убедились в его потенциальной работоспособности. Кроме этого, в ходе этой процедуры они должны прийти к соглашению о значении параметра T_Opr - максимально допустимому времени оборота маркера по кольцу, на основании которого все станции вычисляют время удержания маркера THT. Процедура Claim Token выполняется в нескольких ситуациях:
· при включении новой станции в кольцо и при выходе станции из кольца
· при обнаружении какой-либо станцией факта утери маркера (маркер считается утерянным, если станция не наблюдает его в течение двух периодов времени максимального оборота маркера T_Opr)
· при обнаружении длительного отсутствия активности в кольце, когда станция в течение определенного времени не наблюдает проходящих через нее кадров данных
· по команде от блока управления станцией SMT
Для выполнения процедуры инициализации каждая станция сети должна знать о своих требованиях к максимальному времени оборота маркера по кольцу. Эти требования содержатся в параметре, называемом «требуемое время оборота маркера» - TTRT (Target Token Rotation Time). Параметр TTRT отражает степень потребности станции в пропускной способности кольца - чем меньше время TTRT, тем чаще станция желает получать маркер для передачи своих кадров. Процедура инициализации позволяет станциям узнавать о требованиях к времени оборота маркера других станций и выбрать минимальное время в качестве общего параметра T_Opr, на основании которого в дальнейшем будет распределяться пропускная способность кольца. Параметр TTRT должен находиться в пределах от 4 мсек. до 165 мсек. и может изменяться администратором сети.
Если какая-либо станция решает начать процесс инициализации кольца по своей инициативе, то она формирует кадр Claim Token со своим значением требуемого времени оборота маркера. Захвата маркера для этого не требуется. Любая другая станция, получив кадр Claim Token, начинает выполнять процедуру Claim Token.
Для выполнения процедуры инициализации каждая станция поддерживает таймер текущего времени оборота маркера TRT (Token Rotation Timer), который используется также и в дальнейшем при работе кольца в нормальном режиме. Таймер TRT запускается каждой станцией при обнаружении начала процедуры Claim Token. В качестве предельного значения таймера выбирается максимально допустимое время оборота маркера, то есть 165 мсек. Истечение таймера TRT до завершения процедуры означает ее неудачное окончание - кольцо не удалось инициализировать. В случае неудачи процесса Claim Token запускается процедуры, с помощью которых станции кольца пытаются выявить некорректно работающую часть кольца и отключить ее от сети.
Схематично работа процедуры Clime Token выглядит следующим образом. Каждая станция генерирует кадр Clime со своим значением T_Req, равным значению ее параметра TTRT. При этом она устанавливает значение T_Opr, равное значению TTRT. Станция, приняв кадр Claim от предыдущей станции, обязана сравнить значение T_Req, указанное в кадре со своим предложенным значением TTRT. Если другая станция просит установить время оборота маркера меньше, чем данная (то есть, T_Req < TTRT), то данная станция перестает генерировать собственные кадры Claim и начинает повторять чужие кадры Claim, так как видит, что в кольце есть более требовательные станции. Одновременно станция фиксирует в своей переменной T_Opr минимальное значение T_Req, которое ей встретилось в чужих кадрах Claim. Если же пришедший кадр имеет значение T_Req больше, чем собственное значение TTRT, то он удаляется из кольца.
Процесс Claim завершается для станции в том случае, если она получает кадр Claim со своим адресом назначения. Это означает, что данная станция является победителем состязательного процесса и ее значение TTRT оказалось минимальным. При равных значениях параметра TTRT преимущество отдается станции с большим значением МАС-адреса.
После того как станция обнаруживает, что она оказалась победителем процесса Claim Token, она должна сформировать маркер и отправить его по кольцу. Первый оборот маркера - служебный, так как за время этого оборота станции кольца узнают, что процесс Claim Token успешно завершился. При этом они устанавливают признак Ring_Operational в состояние True, означающее начало нормальной работы кольца. При следующем проходе маркера его можно будет использовать для захвата и передачи кадров данных.
Если же у какой-либо станции во время выполнения процедур инициализации таймер TRT истек, а маркер так и не появился на входе станции, то станция начинает процесс Beacon. После нормального завершения процесса инициализации у всех станций кольца устанавливается одинаковое значение переменной T_Opr.
4.5.1.8. Управление доступом к кольцу
Управление доступом к кольцу FDDI распределено между его станциями. Каждая станция, получив маркер, самостоятельно решает, может она его захватить или нет, а если да, то на какое время. Если у станции есть для передачи синхронные кадры, то она всегда может захватить маркер на фиксированное время, выделенное ей администратором. Если же у станции для передачи есть лишь асинхронные кадры, то условия захвата маркера определяются следующим образом.
Станция ведет уже упомянутый таймер текущего времени оборота маркера TRT, а также счетчик количества опозданий маркера Late_Ct. Напомним, что время истечения таймера TRT равно значению максимального времени оборота маркера T_Opr, выбранному станциями при инициализации кольца.
Счетчик Late_Ct всегда обнуляется, когда маркер проходит через станцию. Если же маркер опаздывает, то TRT-таймер достигает значения T_Opr раньше очередного прибытия маркера. При этом таймер обнуляется и начинает отсчет времени заново, а счетчик Late_Ct увеличивается на единицу, фиксируя факт опоздания маркера. При прибытии опоздавшего маркера (при этом Late_Ct = 1) TRT-таймер не сбрасывается, а продолжает считать, накапливая время опоздания маркера. Если же маркер прибыл раньше, чем истек интервал T_Opr у таймера TRT, то таймер сбрасывается в момент прибытия маркера.
Возможны следующие комбинации событий, связанных с поступлением маркера и состоянием таймера.
· Момент А. Маркер прибыл вовремя, так как таймер TRT не достиг порога T_Opr.
· Момент С. Таймер истек раньше, чем маркер прибыл на станцию. Таймер TRT перезапускается, а счетчик Late_Ct увеличивается на единицу.
· Момент D. Маркер прибыл, но опоздал - счетчик Late_Ct равен 1. Счетчик сбрасывается в нуль, но таймер не перезапускается, так как при поступлении маркера счетчик не был равен нулю.
· Момент Е. Маркер прибыл на станцию. Так как он прибыл до истечения таймера и при нулевом значении счетчика Late_Ct, то считается, что он прибыл вовремя. Таймер перезапускается.
Станция может захватывать маркер только в том случае, когда он прибывает вовремя - то есть если в момент его прибытия счетчик Late_Ct равен нулю.
Время удержания маркера управляется таймером удержания маркера THT (Token Holding Timer). Значение этого таймера полагается равным (T_Opr - TRT), где TRT - значение таймера TRT в момент прихода маркера. Если у станции есть в буфере кадры для передачи в момент прибытия маркера и маркер прибыл вовремя, то станция захватывает его и удерживает в течение этого периода. Для отслеживания разрешенного времени удержания маркера в момент захвата маркера значение TRT присваивается таймеру THT, а затем таймер TRT обнуляется и перезапускается. Таймер THT считает до границы T_Opr, после чего считается, что время удержания маркера исчерпано. Станция перестает передавать кадры данных и передает маркер следующей станции.
Описанный алгоритм позволяет адаптивно распределять пропускную способность кольца между станциями, а точнее - ту ее часть, которая осталась после распределения между синхронным трафиком станций. Ниже приведен пример, который иллюстрирует работу этого алгоритма.
Рисунок 4-45. Распределение пропускной способности кольца между станциями

· Момент А. Маркер прибыл вовремя, так как таймер TRT не достиг порога T_Opr. Таймер TRT перезапускается и начинает считать заново. Станция не имеет в это время асинхронных кадров, поэтому просто передает маркер соседу.
· Момент В. Маркер прибыл вовремя. Станция имеет к этому моменту асинхронные кадры для передачи. Таймеру THT присваивается значение таймера TRT (16), и он начинает считать до значения T_Opr (30). Таймер TRT перезапускается. Станция начинает передавать кадры. Она может это делать в течение 14 мсек. Если она закончит передачу имеющихся кадров раньше, то она обязана немедленно освободить маркер.
· Момент С. Таймер THT истек, и станция должна прекратить передачу асинхронных кадров. Станция завершает передачу текущего кадра и передает маркер соседней станции. Счетчик TRT при этом продолжает работать.
· Момент D. Таймер TRT истекает раньше очередного прибытия маркера. Таймер перезапускается, а счетчик Late_Ct увеличивается на 1.
· Момент Е. Маркер поступил, но опоздал, так как Late_Ct имеет значение 1. Станция не может захватить маркер при значении Late_Ct, отличном от нуля. Маркер передается соседней станции. Счетчик Late_Ct обнуляется, а таймер TRT не перезапускается.
· Момент F. Маркер прибывает на станцию. Так как таймер TRT еще не истек, а значение Late_Ct равно 0, то маркер прибыл вовремя. Таймер THT инициализируется значением таймера TRT (22) и начинает считать до границы T_Opr. TRT перезапускается. Станция может передавать кадры в течение 8 мсек.
· Момент G. Таймер THT истекает, и передача асинхронных кадров прекращается. Станция передает маркер соседней станции.
В стандарте FDDI определено еще два механизма управления доступом к кольцу. Во-первых, в маркере можно задавать уровень приоритета маркера, а для каждого уровня приоритета задается свое время порога, до которого считает таймер удержания маркера THT. Во-вторых, определена особая форма маркера - сдерживающий маркер (restricted token), с помощью которого две станции могут монопольно некоторое время обмениваться данными по кольцу.
Если таймер TRT истечет при значении Late_Ct, равном 1, то такое событие считается потерей маркера и порождает выполнение процесса реинициализации кольца Claim Token.
4.5.2. Fast Ethernet
Термином Fast Ethernet называют набор спецификаций, разработанных комитетом IEEE 802.3, чтобы обеспечить недорогой, Ethernet-совместимый стандарт, способный обеспечить работу ЛВС на скорости 100 Мбит/сек.
Из-за чего возникла необходимость в таких скоростях? Существенно увеличилась диспропорция между скоростью работы процессоров рабочих станций, скоростью работы их устройств памяти и каналов ввода/вывода, в том числе и сетевых. Эта диспропорция не позволяла эффективно использовать возможности рабочих станций в сети.
В мае 1995 года комитет IEEE принял спецификацию Fast Ethernet в качестве стандарта 802.3u, который не является самостоятельным стандартом, а представляет собой дополнение к существующему стандарту 802.3 в виде глав с 21 по 30. Отличия Fast Ethernet от Ethernet сосредоточены на физическом уровне.
Отметим главные особенности эволюционного развития от сетей Ethernet к сетям Fast Ethernet стандарта IEEE 802.3u:
· десятикратное увеличение пропускной способности сегментов сети
· сохранение метода случайного доступа CSMA/CD, принятого в Ethernet
· сохранение формата кадра, принятого в Ethernet
· поддержка традиционных сред передачи данных - витой пары и волоконно-оптического кабеля
Кроме указанных свойств, важной функцией этого стандарта является поддержка двух скоростей передачи 10/100 Мбит/сек. и автоматический выбор одной из них, встраиваемая в сетевые карты и коммутаторы Fast Ethernet. Все это позволяет осуществлять плавный переход от сетей Ethernet к более скоростным сетям Fast Ethernet, обеспечивая выгодную преемственность по сравнению с другими технологиями. Еще один дополнительный фактор - низкая стоимость оборудования Fast Ethernet.
4.5.2.1. Архитектура стандарта Fast Ethernet
На рисунке 4-46 показана структура уровней Fast Ethernet. Более сложная структура физического уровня технологии Fast Ethernet вызвана тем, что в ней используются три варианта кабельных систем - оптоволокно, двухпарная витая пара категории 5 и четырехпарная витая пара категории 3. Причем, по сравнению с вариантами физической реализации Ethernet (а их насчитывается шесть), здесь отличия каждого варианта от других глубже - меняется и количество проводников, и методы кодирования. А так как физические варианты Fast Ethernet создавались одновременно, а не эволюционно, то появилась возможность детально определить те подуровни физического уровня, которые не изменяются от варианта к варианту, и те, что специфичны для каждого варианта.
Еще на стадии разработки стандарта 100Base-T комитет IEEE 802.3u определил, что не существует универсальной схемы кодирования сигнала, которая была бы идеальной для всех трех физических интерфейсов (TX, FX, T4). Если сравнивать со стандартом Ethernet, то в нем функцию кодирования (манчестерский код) выполняет уровень физической сигнализации PLS (рисунок 4-46), который находится выше средонезависимого интерфейса AUI. В стандарте Fast Ethernet функции кодирования выполняет подуровень кодирования PCS, размещенный ниже средонезависимого интерфейса MII. В результате этого каждый трансивер должен использовать свой собственный набор схем кодирования, наилучшим образом подходящий для соответствующего физического интерфейса, например, набор 4B/5B и NRZI для интерфейса 100Base-FX.
Рисунок 4-46. Структура уровней стандарта Fast Ethernet, MII-интерфейс и трансивер Fast Ethernet

Интерфейс MII (medium
independent interface) в
стандарте Fast Ethernet
является аналогом интерфейса AUI в стандарте Ethernet.
MII-интерфейс обеспечивает связь между подуровнями согласования и физического
кодирования. Основное его назначение - упростить использование разных типов
среды. MII-интерфейс предполагает дальнейшее подключение трансивера Fast Ethernet. Для связи
используется 40-контактный разъем. Максимальное расстояние по MII-интерфейсному
кабелю не должно превышать
4.5.2.2. Физические интерфейсы Fast Ethernet
Стандартом Fast Ethernet IEEE 802.3u установлены три типа физического интерфейса (рисунок 47, таблица 48): 100Base-FX, 100Base-TX и 100Base-T4.
Рисунок 4-47. Физические интерфейсы стандарта Fast Ethernet

Таблица 4-48. Физические интерфейсы стандарта Fast Ethernet IEEE 802.3u и их основные характеристики
|
Физический интерфейс |
100Base-FX |
100Base-TX |
100Base-T4 |
|
Порт устройства |
Duplex SC |
RJ-45 |
RJ-45 |
|
Среда передачи |
Оптическое волокно |
Витая пара UTP Cat. 5 |
Витая пара UTP Cat. 3, 4, 5 |
|
Сигнальная схема |
4B/5B |
4B/5B |
8B/6T |
|
Битовое кодирование |
NRZI |
MLT-3 |
NRZI |
|
Число витых пар/волокон |
2 волокна |
2 витых пары |
4 витых пары |
|
Протяженность сегмента |
До 412м (mm)* до до |
до |
до |
|
Обозначения: mm - многомодовое волокно, sm – одномодовое волокно, * - указанные расстояния могут быть достигнуты только при дуплексном режиме связи. |
|||
100Base-FX
Стандарт этого волоконно-оптического интерфейса полностью идентичен стандарту FDDI PMD. Интерфейс Duplex SC допускает дуплексный канал связи.
100Base-TX
Стандарт этого физического интерфейса предполагает использование неэкранированной витой пары категории не ниже 5. Он полностью идентичен стандарту FDDI UTP PMD. Порт RJ-45 на сетевой карте и на коммутаторе может поддерживать наряду с режимом 100Base-TX режим 10Base-T, или функцию автоопределения скорости. Большинство современных сетевых карт и коммутаторов поддерживают эту функцию по портам RJ-45 и, кроме этого, могут работать в дуплексном режиме.
Метод кодирования 4B/5B. 10 Мбит/сек. версии Ethernet используют манчестерское кодирование для представления данных при передаче по кабелю. Метод кодирования 4B/5B определен в стандарте FDDI и без изменений перенесен в спецификацию PHY FX/TX. При этом методе каждые 4 бита данных MAC-подуровня (называемых символами) представляются 5 битами. Использование избыточного бита позволяет применить потенциальные коды при представлении каждого из пяти бит в виде электрических или оптических импульсов. Потенциальные коды обладают, по сравнению с манчестерскими кодами, более узкой полосой спектра сигнала, а, следовательно, предъявляют меньшие требования к полосе пропускания кабеля. Однако прямое использование потенциальных кодов для передачи исходных данных без избыточного бита невозможно из-за плохой самосинхронизации приемника и источника данных: при передаче длинной последовательности единиц или нулей в течение долгого времени сигнал не изменяется, и приемник не может определить момент чтения очередного бита.
При использовании пяти бит для кодирования шестнадцати исходных 4-битовых комбинаций можно построить такую таблицу кодирования, в которой любой исходный 4-битовый код представляется 5-битовым кодом с чередующимися нулями и единицами. Тем самым обеспечивается синхронизация приемника с передатчиком. Так как исходные биты MAC-подуровня должны передаваться со скоростью 100Мбит/cек., то наличие одного избыточного бита вынуждает передавать биты результирующего кода 4B/5B со скоростью 125 Мбит/cек., таким образом, межбитовое расстояние в устройстве PHY составляет 8 наносекунд.
Так как из 32 возможных комбинаций 5-битовых порций для кодирования порций исходных данных нужно только 16, то остальные 16 комбинаций в коде 4В/5B используются в служебных целях.
100Base-T4
Этот тип интерфейса позволяет обеспечить полудуплексный канал связи по витой паре UTP Cat.3 и выше. Именно возможность перехода предприятия со стандарта Ethernet на стандарт Fast Ethernet без радикальной замены существующей кабельной системы на основе UTP Cat.3 следует считать главным преимуществом этого стандарта.
Символьное кодирование 8B/6T. Если бы использовалось манчестерское кодирование, то битовая скорость в расчете на одну витую пару была бы 33,33 Мбит/с, что превышало бы установленный предел 30 МГц для таких кабелей. Эффективное уменьшение частоты модуляции достигается, если вместо прямого (2-уровневого) бинарного кода использовать 3-уровневый троичный код. Этот код, известный как 8B/6T, предполагает, что прежде, чем происходит передача, каждый набор из 8 бинарных битов (символ) сначала преобразуется в соответствии с определенными правилами в 6 троичных (3-уровневых) символов. На примере, показанном на рисунке 4-49 (b), можно определить скорость 3-уровневого символьного сигнала (100х6/8)/3=25МГц, значение которой не превышает установленный предел.
Рисунок 4-49. Физические интерфейсы 100Base-T4: а) Использование витых пар; б) Кодирование 8B/6T

Интерфейс 100Base-T4 имеет один существенный недостаток - принципиальную невозможность поддержки дуплексного режима передачи. И если при строительстве небольших сетей Fast Ethernet с использованием повторителей 100Base-TX не имеет преимуществ перед 100Base-T4 (существует коллизионный домен, полоса пропускания которого не больше 100 Мбит/сек.), то при строительстве сетей с использованием коммутаторов недостаток интерфейса 100Base-T4 становится очевидным и очень серьезным. Поэтому данный интерфейс не получил столь большого распространения, как 100Base-TX и 100Base-FX.
4.5.2.3. Типы устройств Fast Ethernet
Основные категории устройств, применяемых в Fast Ethernet, такие же, как и в Ethernet: трансиверы, конвертеры, сетевые карты (для установки на рабочие станции/файл-серверы), повторители, коммутаторы.
Трансивер - это (по аналогии с трансивером Ethernet) двухпортовое устройство, охватывающее подуровни PCS, PMA, PMD и AUTONEG, и имеющее с одной стороны MII-интерфейс, с другой - один из средозависимых физических интерфейсов (100Base-FX, 100Base-TX или 100Base-T4). Трансиверы используются сравнительно редко, как и редко используются сетевые карты, повторители и коммутаторы с интерфейсом MII.
Сетевая карта. Наиболее широкое распространение сегодня получили сетевые карты с интерфейсом 100Base-TX на шину PCI. Необязательными, но крайне желательными функциями порта RJ-45 является автоконфигурирование 100/10 Мбит/сек. и поддержка дуплексного режима. Большинство современных выпускаемых карт поддерживают эти функции.
Конвертер (media converter) - это двухпортовое устройство, оба порта которого представляют средозависимые интерфейсы. Конвертеры, в отличие от повторителей, могут работать в дуплексном режиме, за исключением случая, когда имеется порт 100Base-T4. Распространены конвертеры 100Base-TX/100Base-FX.
Коммутатор - одно из наиболее важных устройств при построении корпоративных сетей. Большинство современных коммутаторов Fast Ethernet поддерживает автоконфигурирование 100/10 Мбит/с по портам RJ-45 и могут обеспечивать дуплексный канал связи по всем портам (за исключением 100Base-T4). Коммутаторы могут иметь специальные дополнительные слоты для установления uplink-модуля. В качестве интерфейсов у таких модулей могут выступать оптические порты типа Fast Ethernet 100Base-FX, FDDI , ATM (155 Мбит/сек.), Gigabit Ethernet и др.
4.5.3. Gigabit Ethernet
Интерес к технологиям для локальных сетей с гигабитными скоростями повысился в связи с двумя обстоятельствами - во-первых, успехом сравнительно недорогих (по сравнению с FDDI) технологий Fast Ethernet, во-вторых, со слишком большими трудностями, испытываемыми технологией АТМ на пути к конечному пользователю.
В марте 1996 года комитет IEEE 802.3 одобрил проект стандартизации Gigabit Ethernet 802.3z. В мае 1996 года 11 компаний (3Com Corp., Bay Networks Inc., Cisco Systems Inc., Compaq Computer Corp., Granite Systems Inc., Intel Corporation, LSI Logic, Packet Engines Inc., Sun Microsystems Computer Company, UB Networks и VLSI Technology) организовали Gigabit Ethernet Alliance.
Альянс объединил усилия большого числа ведущих производителей сетевого оборудования на пути выработки единого стандарта и выпуска совместимых продуктов Gigabit Ethernet и преследовал следующие цели:
· поддержка расширения технологий Ethernet и Fast Ethernet в ответ на потребность в более высокой скорости передачи
· разработка технических предложений с целью включения в стандарт
· выработка процедур и методов тестирования продуктов от различных поставщиков
К началу 1998 года Альянс насчитывал уже более
100 компаний. Через Альянс была обеспечена обратная связь между техническим
комитетом по стандартизации IEEE 802.3 и индустриальными производителями сетевого оборудования.
Альянс увеличил эффективность работы комитета и способствовал более быстрому
одобрению спецификаций стандартов Gigabit Ethernet IEEE 802.3z
и IEEE 802.3ab.
Наибольшие трудности вызывал физический уровень, а именно, адаптация многомодового волокна и витой пары. 29 июня
4.5.3.1. Архитектура стандарта Gigabit Ethernet
На рисунке 4-50 показана структура уровней Gigabit Ethernet. Как и в стандарте Fast Ethernet, в Gigabit Ethernet не существует универсальной схемы кодирования сигнала, которая была бы идеальной для всех физических интерфейсов - так, для стандартов 1000Base-LX/SX/CX используется кодирование 8B/10B, а для стандарта 1000Base-T - специальный расширенный линейный код TX/T2. Функцию кодирования выполняет подуровень кодирования PCS, размещенный ниже средонезависимого интерфейса GMII.
Рисунок 4-50. Структура уровней стандарта Gigabit Ethernet, GII-интерфейс и трансивер Gigabit Ethernet

GMII-интерфейс. Средонезависимый интерфейс GMII (gigabit media independent interface) обеспечивает взаимодействие между уровнем MAC и физическим уровнем. GMII-интерфейс является расширением интерфейса MII и может поддерживать скорости 10, 100 и 1000 Мбит/сек. Он имеет отдельные 8-битные приемник и передатчик и может поддерживать как полудуплексный, так и дуплексный режимы. Кроме этого, GMII-интерфейс несет один сигнал, обеспечивающий синхронизацию (clock signal), и два сигнала состояния линии - первый (в состоянии ON) указывает наличие несущей, а второй (в состоянии ON) говорит об отсутствии коллизий. Также GMII-интерфейс обеспечивает еще несколько сигнальных каналов и питание. Трансиверный модуль, охватывающий физический уровень и обеспечивающий один из физических средозависимых интерфейсов, может подключаться, например, к коммутатору Gigabit Ethernet посредством GMII-интерфейса.
Подуровень физического кодирования PCS. При подключении интерфейсов группы 1000Base-X подуровень PCS
использует блочное избыточное кодирование 8B10B, заимствованное из стандарта
ANSI X3T11 Fibre Channel. На
основе сложной кодовой таблицы каждые 8 входных битов, предназначенные для
передачи на удаленный узел, преобразовываются в 10-битные символы (code groups). Кроме
этого, в выходном последовательном потоке присутствуют специальные контрольные
10-битные символы. Примером контрольных символов могут служить символы, используемые
для расширения носителя (дополняют кадр Gigabit Ethernet до его минимального размера - 512 байт). При подключении
интерфейса 1000Base-T подуровень PCS осуществляет специальное помехоустойчивое
кодирование для обеспечения передачи по витой паре UTP Cat.5 на расстояние до
Подуровни PMA и PMD. Физический уровень Gigabit Ethernet использует несколько интерфейсов, включая традиционную витую пару категории 5, а также многомодовое и одномодовое волокно. Подуровень PMA преобразует параллельный поток символов от PCS в последовательный поток, а также выполняет обратное преобразование (распараллеливание) входящего последовательного потока от PMD. Подуровень PMD определяет оптические/электрические характеристики физических сигналов для разных сред. Всего определено 4 различных типов физических интерфейсов среды, которые отражены в спецификация стандарта 802.3z (1000Base-X) и 802.3ab (1000Base-T) (рисунок 4-51).
Рисунок 4-51. Физические интерфейсы стандарта Gigabit Ethernet

4.5.3.2. Интерфейс 1000Base-X
Интерфейс 1000Base-X основан на стандарте физического уровня Fibre Channel. Эта технология будет подробнее рассмотрена ниже. Fibre Channel - это технология взаимодействия рабочих станций, суперкомпьютеров, устройств хранения и периферийных узлов. Fibre Channel имеет 4-уровневую архитектуру. Два нижних уровня FC-0 (интерфейсы и среда) и FC-1 (кодирование/декодирование) перенесены в Gigabit Ethernet. Поскольку Fibre Channel является одобренной технологией, то такое перенесение сильно сократило время на разработку оригинального стандарта Gigabit Ethernet.
1000Base-X подразделяется на три физических интерфейса, различающихся характеристиками источника и приемника излучения: интерфейс 1000Base-SX и 1000Base-LX для многомодового оптоволокна и 1000Base-CX для экранированной витой пары (STP «twinax») на коротких расстояниях.
4.5.3.3. Интерфейс 1000Base-T
1000Base-T - это стандартный интерфейс Gigabit Ethernet для передачи по
неэкранированной витой паре категории 5 и выше на расстояния до
Почему выбрано 5-уровневое кодирование? Распространенное четырехуровневое кодирование обрабатывает входящие биты парами. Всего существует 4 различных комбинации - 00, 01, 10, 11. Передатчик может для каждой пары бит установить свой уровень напряжения передаваемого сигнала, что уменьшает в 2 раза частоту модуляции четырехуровневого сигнала, 125 МГц вместо 250 МГц (рисунок 4-52), и, следовательно, частоту излучения. Пятый уровень добавлен для создания избыточности кода, в результате чего становится возможной коррекция ошибок на приеме.
Рисунок 4-52. Схема 4-уровневого кодирования PAM-4

4.5.3.4. Уровень MAC
Уровень MAC-стандарта Gigabit Ethernet использует тот же самый протокол передачи CSMA/CD, что и его предки Ethernet и Fast Ethernet. Основные ограничения на максимальную длину сегмента (или коллизионного домена) определяются этим протоколом. В стандарте Ethernet IEEE 802.3 принят минимальный размер кадра, равный 64 байтам. Как уже неоднократно отмечалось, именно значение минимального размера кадра определяет максимально допустимое расстояние между станциями. Время, за которое станция передает такой кадр (время канала), равно, как мы уже отмечали, 51,2 мксек. Максимальная длина сети Ethernet определяется из условия разрешения коллизий, а именно, время, за которое сигнал доходит до удаленного узла и возвращается обратно, не должно превышать 51,2 мксек. (без учета преамбулы).
При переходе от Ethernet к Fast Ethernet скорость передачи возрастает, а время трансляции кадра длины 64 байта соответственно сокращается - оно равно 5,12 мксек. Чтобы можно было обнаруживать все коллизии до конца передачи кадра, как и раньше, необходимо выполнить одно из условий:
1. Сохранить прежнюю максимальную длину сегмента, но увеличить время канала (и, следовательно, увеличить минимальную длину кадра)
2. Сохранить время канала (сохранить прежний размер кадра), но уменьшить максимальную длину сегмента
В Fast Ethernet был оставлен такой же минимальный размер кадра, как в Ethernet. Это сохранило совместимость, но привело к значительному уменьшению максимального размера сегмента.
Опять же в силу преемственности, стандарт Gigabit Ethernet
должен поддерживать те же минимальный и максимальный размеры кадра, которые
приняты в Ethernet и Fast Ethernet. Но поскольку скорость передачи возрастает, то, соответственно,
уменьшается и время передачи пакета аналогичной длины. При сохранении прежней
минимальной длины кадра это привело бы к уменьшению диаметра сети, который не
превышал бы
Расширение носителя (carrier extension)
Символы в дополнительном поле обычно не несут служебной информации, но они заполняют канал. В результате коллизия будет регистрироваться всеми станциями при большем диаметре коллизионного домена.
Если станции нужно передать короткий (меньше 512 байт) кадр, то при передаче добавляется поле «расширение носителя», дополняющее кадр до 512 байт. Поле контрольной суммы вычисляется только для оригинального кадра и не распространяется на поле расширения. При приеме кадра поле расширения отбрасывается. Поэтому уровень LLC даже и не знает о наличии такого поля. Если размер кадра равен или превосходит 512 байт, то поле расширения носителя отсутствует. На рисунке 4-53 показан формат кадра Gigabit Ethernet при использовании расширения носителя.
Рисунок 4-53. Кадр Gigabit Ethernet с полем расширения носителя

В настоящее время поставляется полный перечень сетевых продуктов Gigabit Ethernet: сетевые карты, повторители, коммутаторы, а также маршрутизаторы. Предпочтение отдается устройствам с оптическими интерфейсами.
4.5.4. Fibre Channel
Известно, что производительность микропроцессоров рабочих станций удваивается каждые 18 месяцев. Растет объем их памяти. Растет сложность приложений, особенно в части графики, видео- и аудиосредств. Все это предъявляет растущие требования к скорости как ввода/вывода данных процессора, так и к скорости сетевого взаимодействия приложений.
Канал ввода/вывода (I/O-канал) обеспечивает взаимодействие типа «точка-точка» на коротких расстояниях. Как правило, логика управления им не очень сложна. Канал считается очень надежным и обеспечивает передачу данных между процессором и периферийным устройством.
Сетевое взаимодействие предполагает передачу данных на большие расстояния, чем в случае канала ввода/вывода, форматы данных здесь могут быть весьма замысловатые. Это соединение использует различное программное обеспечение, реализующее надлежащие протоколы передачи, разные типы передач данных и т.д. Управление передачей и взаимодействием у этих соединений достаточно сложное.
Fibre Channel сочетает в себе преимущества канальных и сетевых технологий. Он призван объединить в себе простоту и скорость I/O-канала с гибкостью и возможностями установления сетевых соединений на основе протоколов. Такое сочетание позволит разработчикам систем объединять традиционные подключения периферии, сетевые методы передачи данных и управления соединениями, методы соединения процессоров, используемые при создании кластеров, в единые мультипротокольные интерфейсы.
Работы по разработке стандарта FC были начаты группой ANSI в 1988 году. В настоящее время Fibre Channel конкурирует как с Ethernet, так и с SCSI (Small Computer System Interface). Последний, используемый как интерфейс к высокоскоростным устройствам рабочих станций, например, дискам, уже сейчас превосходит по быстродействию существующие сети в 10-100 раз. Fibre Channel имеет уникальную систему физического интерфейса и форматы кадров, которые позволяют этому стандарту обеспечить простую стыковку с канальными протоколами IPI (Intelligent Peripheral Interface), SCSI, HIPPI (High Performance Parallel Interface), ATM, IP и 802.2. Это позволяет, например, организовать скоростной канал между компьютером и дисковой накопительной системой RAID.
Быстродействие сетей Fibre
Channel составляет nх100 Мбайт/сек. при длинах канала
Компоненты FC-сети делятся на простые и коммутирующие. Простой компонент имеет от одного до нескольких портов типа n_port. Эти порты используются для связи компонентов между собой. Коммутирующие компоненты представляют собой коммутаторы, которые могут быть объединены в структуры (fabric). Структуры имеют множественные порты, именуемые f_port.
4.5.4.1. Классы услуг FC
Fibre Channel обеспечивает шесть независимых классов услуг (каждый класс представляет определенную стратегию обмена информацией), которые облегчают решение широкого диапазона прикладных задач:
|
Класс 1 |
Соединение с коммутацией каналов по схеме точка-точка (end-to-end) между портами типа n_port. Класс удобен для аудио- и видеоприложений, например, видеоконференций. После установления соединения используется вся доступная полоса пропускания канала. При этом гарантируется, что кадры будут получены в том же порядке, в каком они были отправлены. |
|
Класс 2 |
Обмен без установления соединения с коммутацией пакетов, гарантирующий доставку данных. Так как соединение не устанавливается, порт может взаимодействовать одновременно с любым числом портов типа n_port, получая и передавая кадры. Здесь не гарантируется, что кадры будут доставлены в том же порядке, в каком были переданы (за исключением случаев соединения «точка-точка» или «кольцо с арбитражем»). В этом классе допустимы схемы управления потоком «буфер-буфер» и «точка-точка». Класс характерен для локальных сетей, где время доставки данных не является критическим. |
|
Класс 3 |
Обмен дейтаграммами без установления соединения и без гарантии доставки. Схема управления потоком - «буфер-буфер». Применяется для каналов SCSI. |
|
Класс 4 |
Обеспечивает выделение определенной доли пропускной способности канала с заданным значением качества обслуживания (QoS). Работает только с топологией структура (fabric), где соединяются два порта типа n_port. При этом формируются два виртуальных соединения, обслуживающих встречные потоки данных. Пропускная способность этих соединения может быть разной. Как и в классе 1, здесь гарантируется порядок доставки кадров. Допускается одновременное соединение более чем с одним портом типа n_port. Используется схема управления потоком «буфер-буфер». |
|
Класс 5 |
Регламентирующие документы находятся в процессе подготовки. |
|
Класс 6 |
Предусматривает групповое обслуживание в рамках топологии типа структура (fabric). |
4.5.4.2. Технология обмена пакетами
Fibre Channel использует пакеты переменной длины (до 2148 байт), содержащие до 2112 байт данных. Такая длина пакета заметно снижает издержки, связанные с пересылкой заголовков (эффективность 98%). С этой точки зрения в наихудшем положении оказывается ATM (83%-ная эффективность: 48 байт данных при 53-байтном пакете). Только FDDI превосходит FC по этому параметру (99%).
В отличие от других локальных сетей, использующих 6-октетные адреса, FC работает с 3-байтовыми адресами, распределяемыми динамически в процессе выполнения операции login. Адрес 0xffffff зарезервирован для широковещательной адресации. Адреса же в диапазоне 0xfffff0-0xfffffe выделены для обращения к «структуре» (fabric), мультикастинг-серверу и серверу псевдонимов (alias-server). n_port передает кадры от своего source_id (s_id) к destination_id (d_id). До выполнения операции fabric login s_id порта не определено. В случае арбитражного кольца применяются 3-октетные адреса al_pa, задаваемые при инициализации кольца. Для однозначной идентификации узлов используются 64-битовые имена-идентификаторы.
Формат пакетов в сетях FC показан на рисунке 4-54. Здесь используются 24-битовые адреса, что позволяет адресовать до 16 миллионов объектов. Сеть может строить соединения по схеме «точка-точка», допускается и кольцевая архитектура с возможностью арбитража. Есть и другие схемы, допускающие большое число независимых обменов одновременно. Схема кольцевого соединения показана на рисунке 4-55. К кольцу может быть подключено до 128 узлов.
Протокол Fibre Channel предусматривает 5 уровней, которые определяют физическую среду, скорость передачи, схему кодирования, форматы пакетов, управление потоком и различные виды услуг. Напомним, что первые два мы подробно рассмотрели в предыдущем разделе.
· FC-0 определяет физические характеристики интерфейса и среды, включая кабели, разъемы, драйверы (ECL, LED, лазеры), передатчики и приемники. Вместе с FC-1 этот уровень образует физический слой.
· FC-1 определяет метод кодирования/декодирования (8B/10B) и протокол передачи, где объединяется пересылка данных и синхронизирующей информации.
· FC-2 определяет правила сигнального протокола, классы услуг, топологию, методику сегментации, задает формат кадра и описывает передачу информационных кадров.
· FС-3 определяет работу нескольких портов на одном узле и обеспечивает общие виды сервиса.
· FC-4 обеспечивает реализацию набора прикладных команд и протоколов вышележащего уровня (например, для SCSI, IPI, IEEE 802, SBCCS, HIPPI, IP, ATM и т.д.)
FC-0 и FC-1 образуют физический уровень, соответствующей стандартной модели ISO.
Рисунок 4-54. Формат кадра Fibre Channel

Стандарт FC допускает соединение типа «точка-точка», кольцо с арбитражем и структура (верхняя, средняя и нижняя части рисунка 4-55). Кольцевая архитектура обеспечивает самое дешевое подключение. Система арбитража допускает обмен только между двумя узлами одновременно. Следует учесть, что кольцевая структура не предполагает использования маркерной схемы доступа.
Рисунок 4-55. Типы топологии FC

Перед передачей байты кадра преобразуются в 10-битовые кодовые последовательности, называемые символами передачи (кодировка 8B/10B).
В FC предусмотрено два режима обмена: «буфер-буфер» и «точка-точка». Передача данных осуществляется, только когда принимающая сторона готова к этому. Прежде чем что-либо посылать, стороны должны выполнить операцию login. В ходе ее выполнения определяется верхний предел числа передаваемых кадров (credit). Значение параметра credit задает число кадров, которые могут быть приняты. После передачи очередного кадра значение credit уменьшается на единицу. Когда значение этой переменной достигает нуля, дальнейшая передача блокируется до тех пор, пока получатель не обработает один или более кадров и будет готов продолжить прием. Здесь имеет место довольно тесная аналогия с протоколом скользящего окна.
Режим обмена «буфер-буфер» предполагает установление связи между портами N_Port и F_Port или между двумя N_Port. При установлении соединения каждая из сторон сообщает партнеру, сколько кадров она готова принять (значение переменной BB_Credit). Режим «точка-точка» реализуется между портами типа N_Port. Предельное число кадров, которое сторона может принять, задается переменной EE_Credit. Эта переменная устанавливается равной нулю при инициализации, увеличивается на единицу при передаче кадра и уменьшается при получении кадра ACK Link Control. Кадр ACK может указывать на то, что порт получил и обработал один кадр, N кадров или всю последовательность кадров.
4.6. Спутниковые сети
В большинстве случаев каналы с множественным доступом используют в ЛВС. Однако эти каналы находят применение и в сетях регионального масштаба, когда для этого используются спутниковые каналы. Здесь мы рассмотрим лишь некоторые проблемы, которые возникают при использовании спутниковых каналов в региональных сетях.
Спутник связи имеет обычно несколько десятков
транспондеров. Каждый транспондер управляет лучом, покрывающим определенную
часть поверхности земли. Луч может иметь большое пятно (до
Луч нацеливается на определенную зону с помощью соответствующей электроники, антенна передает несколько кадров и луч перемещается на другую область. Время, в течение которого луч фиксируют на определенной зоне, называется временем скважности.
Как и в любой ЛВС, важным вопросом является то, как распределять каналы транспондеров. Из-за большой задержки в канале (до 270 мсек.) использование несущей невозможно. Поэтому протоколы класса CSMA/CD здесь не применимы. Здесь используются пять других классов протоколов: «Объединение», ALOHA, FDM, TDM, CDMA. Хотя мы их уже рассматривали, тем не менее, их применение для спутниковой связи имеет некоторые особенности. В основном мы будем говорить о передаче данных на спутник, поскольку при передачи со спутника есть только один передатчик (транспондер на спутнике), и проблем распределения канала не возникает.
4.6.1. Объединение
Обычный способ распределить один канал между несколькими конкурирующими пользователями – объединить их каким-либо образом. Однако позволить им конкурировать за свободный кадр произвольно при задержке 270 мсек. нельзя. Если наземные станции подключены к сети с коммутацией пакетов, то есть одна возможность. Надо их объединить в кольцо с маркером. Каждая станция должна знать своего предшественника или последователя в кольце. Станция может передавать кадр, только если она владеет маркером. Спутник ничего не знает о маркере. Если время передачи на спутник относительно велико, время передачи маркера мало, число станцией невелико и постоянно, то эта схема работает нормально.
4.6.2. ALOHA
Чистая ALOHA из-за низкой эффективности использования канала (18%) обычно не используется. Слишком дорого стоит спутник. Однако слотированная ALOHA вполне применима. Для этого одна из наземных станций берет на себя роль синхронизирующей станции. Она через спутник периодически транслирует синхросигналы всем станциям. Поскольку время передачи фиксировано, то легко подсчитать время начала слота k после очередного синхросигнала.
Чтобы увеличить эффективность использования канала более, чем на 1/e, применяют транспондеры с двойной частотой. Этот случай показан на рисунке 4-56 (b). Наземная станция выбирает один из них случайным образом. Если по обоим каналам сразу поступили кадры, то один из них буферизуют и передают позже. Такая техника позволяет повысить эффективность использования канала до 73,6%.
Рисунок 4-56. (а) Стандартная ALOHA, (b) С транспондером с двойной частотой

4.6.3. FDM
Разделение частот по-прежнему остается одной из наиболее часто используемых техник распределения канала с множественным доступом. Канал с шириной полосы в 36 МГц может быть разбит на примерно 500 полос по 64 кГц каждая. Несмотря на простоту, техника FDM имеет недостатки. Основной из которых – не вся ширина 500 полос может быть использована. С целью изолирования полос друг от друга часть частот на границе полос уходит на изоляцию каналов друг от друга. В результате значительная часть полосы пропускания уходит на эти цели.
Второй недостаток – контроль мощности станции. Если станция излучает слишком мощный сигнал, то часть мощности приходится на пограничные частоты между каналами, что приводит к нежелательным искажениям в соседних каналах. Наконец, FDM – это аналоговая техника, и программные методы обработки и управления к ней не применимы.
Если число станций невелико и все они генерируют стабильно высокую нагрузку, то может быть применен статический подход к распределению FDM-канала. В противном случае нужен динамический подход. Такой подход был разработан – SPADE, он применяется на спутниках системы Intelsat. Полоса транспондера разбивается на 794 симплексных аналоговых каналов по 64 К плюс один 128 К - общий для управления. Каналы разбиваются на пары, образуя полный дуплексный канал. В результате транспондер может передавать данные со скоростью 50 Мбит/сек. и принимать с такой же скоростью.
Общий 128К-канал разбивается с помощью техники TDM на слоты. За каждой наземной станцией (их не более 50) закрепляется свой слот. Когда станция готова к передаче, она через свой слот сообщает об этом и захватывает один из 397 каналов данных. Если при захвате произойдет коллизия, то станция ждет и в следующем цикле пытается опять получить канал. Закончив передачу, она с помощью управляющего канала освобождает захваченный ею канал данных.
4.6.4.TDM
Подобно FDM, техника TDM давно используется и хорошо освоена. Ее применение требует временной синхронизации для разбиения на слоты, что обычно обеспечивает специально выделенная станция.
Для небольшого и постоянного числа станций возможно использование техники статического распределения слотов. В случае переменного числа станций или переменной нагрузке от станций нужна динамическая схема распределения. Динамические схемы бывают централизованные и децентрализованные.
В качестве примера централизованной схемы рассмотрим систему ACTS (Advanced Communication Technology Satellite), которая была предложена в 1972 году для системы из нескольких десятков станций. Спутник имел четыре канала 110 Мбит/сек. - два на прием и два на передачу. У каждого канала был кадр 1 мсек., состоявший из 1728 слотов по 64 бит каждый, способных обеспечить голосовой канал 64 Кбит/сек. Чтобы при передвижении луча по поверхности земли временные слоты каналов использовались максимально, управление слотами выполняет специально выделенная главная станция управления. Каждая наземная станция получает при необходимости слот, запрашивая его у ГСУ. Для этого у нее есть специальный канал, доступный всем наземным станциям, за который между станциями нет конкуренции, - он статически разделен между ними. Схема работы ACTS состоит из трех этапов. На первом спутник принимает 1728-слотовой кадр, на этапе 2 эти 1728 слотов перераспределяются в нужном порядке из входного буфера в выходной, на этапе 3 выходной буфер сбрасывается на землю.
Динамические схемы распределения слотов также применяются на спутниковых системах. Одна из них, предложенная Биндером в 1975 году, применяется, когда число станций не превышает число слотов. В этом случае за каждой станцией закрепляется свой слот. Если станции нечего передавать, она шлет сигнал ожидания в этом слоте, и все знают, что в следующем кадре этот слот можно занять по схеме ALOHA. Когда станция захочет вернуть свой слот, она просто шлет свой кадр, вызывая коллизию. Тогда в следующем кадре этот слот уже никто не занимает и он возвращается владельцу.
Другая схема не накладывает никаких ограничений на соотношение числа станций и числа слотов. Станции конкурируют за слоты по схеме «Слотированная ALOHA». Если захват слота прошел успешно, то этот слот закрепляется за станцией и в следующем кадре, до тех пор пока она сама не освободит его.
В третьей схеме последний слот в каждом кадре разбивается на мелкие слоты состязаний. Станции, желающие передавать в следующем кадре, должны отметить свой подслот в предыдущем кадре, тогда в следующем им будет выделен свой слот.
Несмотря на разнообразие и широкое применение, техника TDM имеет общие недостатки: необходимость временной синхронизации, наземные станции должны обладать очень высокой скоростью передачи, чтобы уместить максимум данных во временном слоте.
4.6.5.CDMA
Техника CDMA свободна от проблем синхронизации и проблем распределения канала. Однако у нее есть три основных недостатка. Во-первых, пока пропускная способность CDMA-канала ниже, чем у TDM-канала. 128-разрядные последовательности частиц требуют высокоскоростных передатчиков. Третий недостаток: пока число инженеров, владеющих этой техникой, очень небольшое.